RESOLUCIÓN 8738 DE 2015
(octubre 26)
<Fuente: Archivo interno entidad emisora>
INSTITUTO COLOMBIANO DE BIENESTAR FAMILIAR – ICBF
<NOTA DE VIGENCIA: Resolución 7798 de 2014 derogada por el artículo 4 de la Resolución 1 de 2016>
Por la cual se ajustan los Lineamientos de Programación y Ejecución de Metas Sociales y Financieras - Vigencia 2015 del Instituto Colombiano de Bienestar Familiar- Cecilia De la Fuente de Lleras – ICBF
LA DIRECTORA GENERAL DEL INSTITUTO COLOMBIANO DE BIENESTAR FAMILIAR - CECILIA DE LA FUENTE DE LLERAS- ICBF.
En uso de sus facultades legales y en especial las conferidas en el literal b) del artículo 28 de la Ley 7a de 1979, y en el artículo 78 de la Ley 489 de 1998 y
CONSIDERANDO
Que mediante la Resolución No. 7798 del 31 de diciembre de 2014, se aprobaron los Lineamientos de Programación y Ejecución de Metas Sociales y Financieras - Vigencia 2015 del Instituto Colombiano de Bienestar Familiar - Cecilia de la Fuente de Lleras - ICBF.
Que los Lineamientos aprobados por el precitado acto administrativo fueron modificados por la Resolución No. 3265 del 29 de mayo de 2015 ajustando la Ficha I-47; la Resolución No. 4158 del 24 de junio de 2015 que ajusta la Ficha I-64; la Resolución 5063 del 22 de julio de 2015 que modifica las Fichas 1-14, I-52 A, I-53 y el numeral 3 del Anexo 2; la Resolución No. 6182 del 25 de agosto de 2015 que modifica las Fichas F-02 y F-03; y por la Resolución No. 7858 del 2 de octubre de 2015 que modifica la Ficha I-32.
Que las Fichas I-34, I-35, I-36, I-37, I-40, I-41 e I-44 de los Lineamientos de Programación y Ejecución de Metas Sociales y Financieras, corresponden a los identificadores presupuéstales C320-1504-4-124, C320-1504-4-125, C320-1504-4-126, C320-1504-4-127, C320-1504-4-130, C320-1504-4-131 y C320-1504-4-134 respectivamente, del proyecto ASISTENCIA A LA PRIMERA INFANCIA A NIVEL NACIONAL.
Que es necesario un incremento de aporte nutricional a los niños y niñas que atiende el Instituto Colombiano de Bienestar Familiar a través de los Hogares Comunitarios teniendo en cuenta los análisis de los exámenes trimestrales de nutrición a los niños y niñas donde muestran que es posible una mayor prevención de los grados de desnutrición iniciales de la primera infancia mejorando la intervención del Instituto con un mayor aporte calórico para cada grupo de edad llegando a un 70%. Los alimentos a suministrar a los niños y niñas beneficiarios deberán cumplir con la normatividad aplicable y vigente para cada uno de los productos; además, se continuará fortaleciendo en la promoción de hábitos y estilos de vida saludable para todos los beneficiarios del ICBF.
Que con base en lo anterior, la Dirección de Primera Infancia solicita el ajuste de las Fichas I-34, I-35, I-36; I-37, I-40, 1-41 e I-44, teniendo en cuenta que es necesario modificar los parámetros en el ítem de costos, incrementando el parámetro “Raciones", para cumplir con el 70% del aporte calórico.
Que para la modificación de las fichas existe el análisis de viabilidad técnica expedido por las dependencias responsables de los temas contenidos en ellas.
Que en mérito de lo expuesto,
RESUELVE
ARTÍCULO PRIMERO. <Resolución 7798 de 2014 derogada por el artículo 4 de la Resolución 1 de 2016> Modifíquese las Fichas I-34, I-35, I-36, I-37, I-40, 1-41 e I-44, de los Lineamientos de Programación y Ejecución de Metas Sociales y Financieras-Vigencia 2015 que hacen parte de la Resolución 7798 de 2014 correspondiente a los identificadores presupuéstales C320-1504-4-124, C320-1504-4-125, C320-1504-4-126, C320-1504-4-127, C320-1504-4-130, C320-1504-4-131 y C320-1504-4-134, respectivamente, en lo referente al primer ítem de las fichas I-34, I-35, I-36, I-37 e I-40, y el cuarto ítem de las fichas 1-41 e I-44 de los objetivos específicos, cada uno de los cuales quedarán de la siguiente manera:
- Suministrar el complemento nutricional que aporta mínimo el 70% de las recomendaciones diarias de energía y nutrientes a los niños y niñas por grupo de edad, atendidos en la jomada de tiempo completo.
ARTÍCULO SEGUNDO. <Resolución 7798 de 2014 derogada por el artículo 4 de la Resolución 1 de 2016> Modifíquese la Fichas I-34, I-35, I-36, I-37, I-40, I-41 e I-44, de los Lineamientos de Programación y Ejecución de Metas Sociales y Financieras - Vigencia 2015 que hacen parte de la Resolución 7798 de 2014 correspondiente a los identificadores presupuéstales C320-1504-4-124, C320-1504-4-125, C320-1504-4-126, C320-1504-4-127, C320-1504-4-130, C320-1504-4-131 y C320-1504-4-134, respectivamente, en lo referente al primer ítem de las fichas I-34,1-35,1-36,1-37 e I-40, y el cuarto ítem de las fichas I-41 e I-44 de las Acciones, cada uno de los cuales quedarán de la siguiente manera:
- Nutrición y salud: Con relación al componente nutricional, el Instituto garantiza a los niños y niñas el suministro de alimentación inocua que aporte mínimo el 70% de las recomendaciones diarias de energía y nutrientes, según grupos de edad, para tiempo completo. Se realiza seguimiento nutricional a los beneficiarios, de forma trimestral, para registro por el operador en el sistema de información definido y definición de Plan de Intervención.
ARTÍCULO TERCERO. <Resolución 7798 de 2014 derogada por el artículo 4 de la Resolución 1 de 2016> Modifíquese las Fichas I-34, I-35 e I-36 de los Lineamientos de Programación y Ejecución de Metas Sociales y Financieras - Vigencia 2015 que hace parte de la Resolución 7798 de 2014 correspondiente a los identificadores presupuéstales C320-1504-4- 124, C320-1504-4-125, C320-1504-4-126, respectivamente, en lo referente al ítem de costo en los parámetros, cada uno de los cuales quedarán de la siguiente manera:

ARTÍCULO QUINTO <sic, es CUARTO>. <Resolución 7798 de 2014 derogada por el artículo 4 de la Resolución 1 de 2016> La presente Resolución rige a partir de la fecha de su expedición.
COMUNÍQUESE Y CÚMPLASE.
Dada en Bogotá, D. C., a los 26 OCT. 2015
CRISTINA PLAZAS MICHELSEN
Directora General
Dirección de Planeación y Control de Gestión
Subdirección de Programación
| Ficha: I-34 | PRG | SPR | PROV | SBPY |
| 320 | 1504 | 4 | 124 | |
| PROYECTO | ASISTENCIA A LA PRIMERA INFANCIA A NIVEL NACIONAL | |||
| SUBPROYECTO | JARDINES SOCIALES – INSTITUCIONAL (I) | |||
| MODALIDAD | JARDINES SOCIALES – INSTITUCIONAL (I) | |||
| OBJETIVO | GENERAL | Garantizar el servicio de educación inicial, cuidado y nutrición a niños y niñas menores de 5 años, en medio institucional, en el marco de la Atención Integral y diferencial, a través de acciones pedagógicas, de cuidado calificado y nutrición, así como la realización de gestiones para promover los derechos de salud, protección y participación que permitan favorecer su desarrollo integral. | ||
| ESPECÍFICOS | - Suministrar el complemento nutricional que aporta mínimo el 70% de las recomendaciones diarias de energía y nutrientes a los niños y niñas por grupo de edad, atendidos en la jornada de tiempo completo. - Fomentar estilos de vida saludables que favorezcan la salud desde la primera infancia y en las siguientes etapas del ciclo vital, mediante el desarrollo de procesos formativos en la práctica de la actividad física, hábitos alimentarios y auto cuidado. | |||
POBLACIÓN OBJETIVO
- Niños y niñas en el rango de edad establecido que hacen parte de las familias que han sido víctimas del conflicto interno armado.
- Niños y niñas en el rango de edad establecido que hacen parte de las familias focalizadas por la Red Unidos.
- Niños y niñas en el rango de edad establecido pertenecientes a hogares cuyo puntaje SSBEN III (Sistema de información de Potenciales Beneficiarios), sea igual o inferior a los nuevos puntos de corte definidos para la primera infancia.
- Niños y niñas en el rango de edad establecido pertenecientes a grupos étnicos.
- Que el núcleo familiar perciba ingresos hasta de 1.5 SMMLV (Aplica para los Hogares Infantiles que transitan a CDI).
NIVEL
14 CIUDADES [1]
RESTO URBANO
RURAL DISPERSO
ÚNICO
57.21
56.32
40.75
[1] 14 ciudades principales: Bogotá D C. Medellín, Cali, Barranquilla, Cartagena, Cúcuta, Bucaramanga, Ibagué, Pereira, Villavicencio, Pasto, Montería, Manizales y Santa Marta son sin sus áreas metropolitanas. Así mismo, incluye La zona urbana diferente a las 14 principales ciudades, los centros poblados y la zona rural dispersa de las 14 principales ciudades.
- Excepcionalmente serán atendidos los niños y niñas con S años cumplidos, que no Ingresaron en la vigencia al sistema educativo formal (grado transición)
ACCIONES | - Nutrición y salud. Con relación al componente nutricional, el Instituto garantiza a los niños y niñas el suministro de aumentación inocua que aporte mínimo el 70% de las recomendaciones dianas de energía y nutrientes, según grupos de edad, para tiempo completo. Se realiza seguimiento nutricional a los beneficiarios, de forma trimestral, para registro por el operador en el sistema de información definido y definición de Plan de Intervención. - En situaciones excepcionales en que los niños y niñas no puedan desplazarse a las unidades de servicios (orden público, desastres naturales) y previo concepto de la Dirección de Primera Infancia, se podrá entregar la ración día en forma de paquete basados en el valor de la ración diaria y que cubra el requerimiento nutricional establecido en la minuta patrón, para lo cual la nutricionista del respectivo centro zonal, elaborará el contenido del paquete. Es importante resaltar, que es mientras se supera la emergencia. - Psicosocial: Para el desarrollo de este componente se aplica el Proyecto Pedagógico Educativo y Comunitario del ICBF bajo el enfoque de desarrollo humano, y la concepción de desarrollo infantil propuesto desde la mesa intersectorial para la primera infancia, o el definido por la EAS. - Familia y Comunidad: Los hogares Comunitarios de Bienestar, contemplan el trabajo con padres de familia, centrado en el desarrollo de competencias para el cuidado, la protección y el desarrollo de sus hijos e hijas, los padres de familia constituyen biológica y socialmente los soportes y significaciones más importantes en el desarrollo del vínculo afectivo y del proceso de socialización de los niños y niñas, razón por la cual es fundamental desarrollar con ellos procesos de formación que les ayuden a poner en práctica contenidos básicos para el desarrollo psíquico, afectivo y físico tendiente a lograr que el niño y la niña crezcan en relaciones de ética y responsabilidad consigo mismo, con los demás y con el mundo que les rodea. - Coordinación del SNBF. Para esta forma de atención, el ICBF aporta los mismos costos y conceptos del gasto del Hogar Comunitario | |
| TIEMPO DE FUNCIONA MIENTO | 200 días con aporte de ICBF | |
| ROTACIÓN | Niño por cupo año | |
| BIENESTA RINA | Niños y niñas de 6 meses a 4 años 11 meses 29 días: 15 gramos/niño/día hábil por 200 días; 1.800 gramos/niño/año para llevar a la casa (un paquete de 900 gramos en mayo y noviembre) | |
Para esta modalidad aplica canasta con reposición de dotación sin gastos administrativos
OBJETO DEL GASTO
JARDIN SOCIAL ANUAL 2015
OBJETO DEL GASTO
FORMA DE PAGO 2015
Tiempo 2015
Costo
2015
CTO/AÑO por Objeto del Gasto 2015
CTO / AÑO por Objeto del Gasto 2015
CTO/AÑO por Objeto del Gasto 2015
HOGAR
Con 14 Niños
Con 13 Niños
Con 12 Niños
DOTACIÓN
DOTACION
HOG./NUEVO
1. 211. 660
R£POSION DOTACION
HOG /AÑO
1
121.165
121.165
121.165
121.165
BECA
MAT.DIDACT.OE CONSUMO
NIÑO/DIA
200
66
184. 800
171. 600
158.400
MAT.DIDACT.DURADERO
HOG./AÑO
1
126.302
126.302
126.302
126.302
ASEO, COMB V SIRV P
HOGAR/DIA
315
1. 006
316. 890
316. 890
316.890
GASTOS ADMINISTRATIVOS
NIÑO/AÑO
12
626
SALARIO MADRE COMUNITARIA
SALARIO
HOGAR/MES
1069.217
12 830 604
12 830 604
12 830 604
RACIONES
RACION DIA HABIL
REGIONALES
NIÑO/DIA
200
2.463
6.910.400
6. 416. 800
5.923.200
SAN ANDRES y ANTIGUAS SECCIONALES
NIÑO/DIA
200
2.853
7. 983.400
7.417.800
6.847.203
RACION VACACIONES
REGIONALES
NIÑO/DIA
30
1.001
420.420
390.390
360.360
SAN ANDRES Y ANTIGUAS SECCIONALES
NIÑO/DIA
30
1.131
475.020
441.090
407.160
Con 14 Niños
Con 13 Niños
Con 12 Niños
COSTO HOGAR / AÑO 2015
REGIONALES
20.784.279
20.247.449
19.710. 619
SAN ANDRES Y ANTIGUAS SECCIONALES
21.916.879
21.299.149
20.681.419
Nota 1: A partir del mes de febrero de 2014 y de acuerdo con la ley 160/ del 2012 que establece que: “(…) Durante ese año, todas las Madres Comunitarias estarán formalizadas laboralmente y devengarán un salario mínimo o su equivalente de acuerdo con el tiempo de dedicación al Programa”, se elimina de la canasta el Concepto Beca Madre Comunitaria o Bonificación y se reemplaza por Salario.
Se realizarán desembolsos periódicos que permitan apalancar la operación de la modalidad. Se descontarán las raciones correspondientes a los cupos no utilizados y a las inasistencias según los lineamientos de la modalidad.
Nota 2. Para las modalidades de HCB, se definirá si existe cobro o no de cuota de participación en asamblea de padres. En aquellos casos donde esta asamblea defina el cobro de la cuota el monto se debe establecer de conformidad con el acuerdo 018 de 2000.
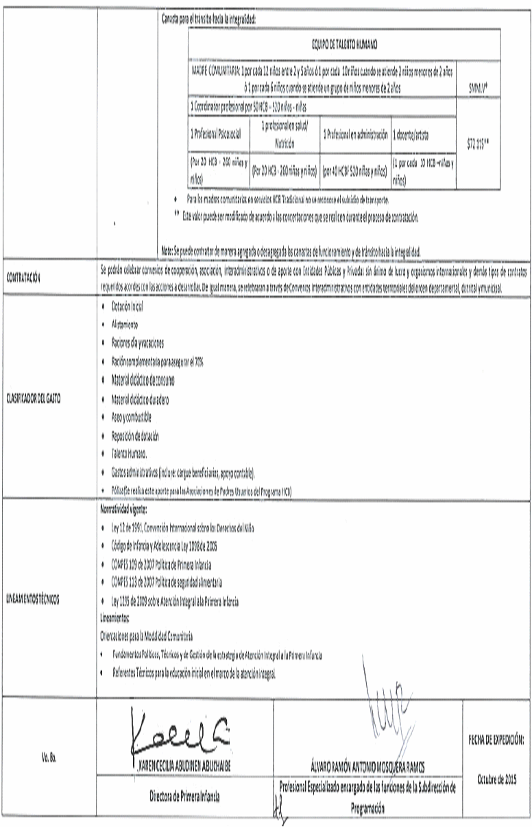
| CONTRATACIÓN | Contrato o convenio de aporte con entidades públicas o privadas un ánimo de lucro, con fines de interés social y de utilidad pública, de reconocida solvencia moral y económica con comprobada experiencia en el manejo y desarrollo de programas sociales y de promoción comunitaria. Entre las entidades se encuentran asociaciones de padres usuarios de los niños y niñas beneficiarios, Cooperativas, Organizaciones Comunitarias. Organizaciones no Gubernamentales - ONG, Cajas de Compensación Familiar y demás entidades sin ánimo de lucro. | |||
| CLASIFICADOR DEL GASTO | - Dotación Inicial; - Raciones; - Material didáctico de consumo; - Material didáctico duradero; - Aseo y combustible; - Reposición de dotación; - Talento Humano - Gastos administrativo - Pago de pólizas y publicaciones (cuando aplica) | |||
LINEAMIENTOS TÉCNICOS | Para la implementación de las diferentes Modalidades de Atención Integral, aplica el Manual Operativo elaborado por La Dirección de Primera infancia, sin perjuicio de los lineamientos técnicos específicos vigentes Normatividad vigente. - Ley 12 de 1991, Convención Internacional sobre los Derechos del Niño - Código de Infancia y Adolescencia Ley 1098 de 2008 - CONPES109 de 2007 Política de Primera Infancia - CONPES 113 de 2007 Política de seguridad alimentaria - Ley 1295 de 2009 sobre Atención integral a la Primera Infancia Lineamientos: - HCB - Resolución no 5827 de 2014. Por la cual se aprueba el lineamiento técnico administrativo, modalidad hogares comunitarios de bienestar en todas sus formas (FAMI, familiares, grupales, múltiples, múltiples empresariales y jardines sociales) para la atención a niños y niñas hasta los cinco (5) años de edad. - Fundamentos Políticos, Técnicos y de Gestión de la estrategia de Atención Integral a la Primera infancia - Referentes Técnicos para la educación inicial en el marco de la atención Integral. - Superintendencia del Subsidio Familiar. Programas de atención integral a la niñez. Circulares externas 010 de marzo de 2006 y 016 de abril de 2006. Bogotá, D.C. | |||
Vo. Bo. | KAREN CECILIA ABUDINEN ABUCHAIBE Directora de Primera Infancia | ALVARO RAMÓN ANTONIO MOSQUERA RAMOS Profesional Especializado encargado de las funciones de la Subdirección de Programación | FECHA DE EXPEDICIÓN: Octubre de 2015 | |
| Ficha: I-35 | PRG | SPR | PROV | SBPY |
| 320 | 1504 | 4 | 124 | |
| PROYECTO | ASISTENCIA A LA PRIMERA INFANCIA A NIVEL NACIONAL | |||
| SUBPROYECTO | HOGARES EMPRESARIALES– INSTITUCIONAL (I) | |||
| MODALIDAD | HOGARES EMPRESARIALES– INSTITUCIONAL (I) | |||
| OBJETIVO | GENERAL | Garantizar el servicio de educación inicial, cuidado y nutrición a niños y niñas menores de 5 años, en medio institucional, en el marco de la Atención Integral y diferencial, a través de acciones pedagógicas, de cuidado calificado y nutrición, así como la realización de gestiones para promover los derechos de salud, protección y participación que permitan favorecer su desarrollo integral. | ||
| ESPECÍFICOS | - Suministrar el complemento nutricional que aporta mínimo el 70% de las recomendaciones diarias de energía y nutrientes a los niños y niñas por grupo de edad, atendidos en la jornada de tiempo completo. - Fomentar estilos de vida saludables que favorezcan la salud desde la primera infancia y en las siguientes etapas del ciclo vital, mediante el desarrollo de procesos formativos en la práctica de la actividad física, hábitos alimentarios y auto cuidado. | |||
POBLACIÓN OBJETIVO
- Niños y niñas en el rango de edad establecido que hacen parte de las familias que han sido víctimas del conflicto interno armado.
- Niños y niñas en el rango de edad establecido que hacen parte de las familias focalizadas por la Red Unidos.
- Niños y niñas en el rango de edad establecido pertenecientes a hogares cuyo puntaje SSBEN III (Sistema de información de Potenciales Beneficiarios), sea igual o inferior a los nuevos puntos de corte definidos para la primera infancia.
- Niños y niñas en el rango de edad establecido pertenecientes a grupos étnicos.
- Que el núcleo familiar perciba ingresos hasta de 1.5 SMMLV (Aplica para los Hogares Infantiles que transitan a CDI).
NIVEL
14 CIUDADES [1]
RESTO URBANO
RURAL DISPERSO
ÚNICO
57.21
56.32
40.75
[1] 14 ciudades principales: Bogotá D C. Medellín, Cali, Barranquilla, Cartagena, Cúcuta, Bucaramanga, Ibagué, Pereira, Villavicencio, Pasto, Montería, Manizales y Santa Marta son sin sus áreas metropolitanas. Así mismo, incluye La zona urbana diferente a las 14 principales ciudades, los centros poblados y la zona rural dispersa de las 14 principales ciudades.
- Excepcionalmente serán atendidos los niños y niñas con 5 años cumplidos, que no Ingresaron en la vigencia al sistema educativo formal (grado transición)
- Se priorizarán a los hijos de los trabajadores de la Empresa que organiza el servicio, en mayores condiciones de vulnerabilidad.
ACCIONES | - Nutrición y salud. Con relación al componente nutricional, el Instituto garantiza a los niños y niñas el suministro de aumentación inocua que aporte mínimo el 70% de las recomendaciones dianas de energía y nutrientes, según grupos de edad, para tiempo completo. Se realiza seguimiento nutricional a los beneficiarios, de forma trimestral, para registro por el operador en el sistema de información definido y definición de Plan de Intervención. - En situaciones excepcionales en que los niños y niñas no puedan desplazarse a las unidades de servicios (orden público, desastres naturales) y previo concepto de la Dirección de Primera Infancia, se podrá entregar la ración día en forma de paquete basados en el valor de la ración diaria y que cubra el requerimiento nutricional establecido en la minuta patrón, para lo cual la nutricionista del respectivo centro zonal, elaborará el contenido del paquete. Es importante resaltar, que es mientras se supera la emergencia. - Psicosocial: Para el desarrollo de este componente se aplica el Proyecto Pedagógico Educativo y Comunitario del ICBF bajo el enfoque de desarrollo humano, y la concepción de desarrollo infantil en el marco de los referentes técnicos para la educación inicial en el marco de la atención integral. - Familia y Comunidad: Los hogares Comunitarios de Bienestar, contemplan el trabajo con padres de familia, centrado en el desarrollo de competencias para el cuidado, la protección y el desarrollo de sus hijos e hijas, los padres de familia constituyen biológica y socialmente los soportes y significaciones más importantes en el desarrollo del vínculo afectivo y del proceso de socialización de los niños y niñas, razón por la cual es fundamental desarrollar con ellos procesos de formación que les ayuden a poner en práctica contenidos básicos para el desarrollo psíquico, afectivo y físico tendiente a lograr que el niño y la niña crezcan en relaciones de ética y responsabilidad consigo mismo, con los demás y con el mundo que les rodea. - Coordinación del SNBF. Para esta forma de atención, el ICBF aporta los mismos costos y conceptos del gasto del Hogar Comunitario | |
| TIEMPO DE FUNCIONA MIENTO | 200 días con aporte de ICBF | |
| ROTACIÓN | Niño por cupo año | |
| BIENESTA RINA | Niños y niñas de 6 meses a 4 años 11 meses 29 días: 15 gramos/niño/día hábil por 200 días; 5.400 gramos/niño/año para llevar a la casa (un paquete de 900 gramos en febrero, abril, junio, agosto, octubre y noviembre) | |
Para esta modalidad aplica canasta con reposición de dotación sin gastos administrativos
Para los hogares empresariales, jardines sociales y hogares múltiples que o transitan a CDI el ICBF seguirá aportando el valor correspondiente para Hogares Comunitarios acorde con la jornada de atención.
OBJETO DEL GASTO
JARDIN SOCIAL ANUAL 2015
OBJETO DEL GASTO
FORMA DE PAGO 2015
Tiempo 2015
Costo
2015
CTO/AÑO por Objeto del Gasto 2015
CTO / AÑO por Objeto del Gasto 2015
CTO/AÑO por Objeto del Gasto 2015
HOGAR
Con 14 Niños
Con 13 Niños
Con 12 Niños
DOTACIÓN
DOTACION
HOG./NUEVO
1. 211. 660
R£POSION DOTACION
HOG /AÑO
1
121.165
121.165
121.165
121.165
BECA
MAT.DIDACT.OE CONSUMO
NIÑO/DIA
200
66
184. 800
171. 600
158.400
MAT.DIDACT.DURADERO
HOG./AÑO
1
126.302
126.302
126.302
126.302
ASEO, COMB V SIRV P
HOGAR/DIA
315
1. 006
316. 890
316. 890
316.890
GASTOS ADMINISTRATIVOS
NIÑO/AÑO
12
626
SALARIO MADRE COMUNITARIA
SALARIO
HOGAR/MES
1.069.217
12.830 604
12.830 604
12.830.604
RACIONES
RACION DIA HABIL
REGIONALES
NIÑO/DIA
200
2.463
6.910.400
6. 416. 800
5.923.200
SAN ANDRES y ANTIGUAS SECCIONALES
NIÑO/DIA
200
2.853
7. 983.400
7.417.800
6.847.203
RACION VACACIONES
REGIONALES
NIÑO/DIA
30
1.001
420.420
390.390
360.360
SAN ANDRES Y ANTIGUAS SECCIONALES
NIÑO/DIA
30
1.131
475.020
441.090
407.160
Con 14 Niños
Con 13 Niños
Con 12 Niños
COSTO HOGAR / AÑO 2015
REGIONALES
20.784.279
20.247.449
19.710. 619
SAN ANDRES Y ANTIGUAS SECCIONALES
21.916.879
21.299.149
20.681.419
Nota 1: A partir del mes de febrero de 2014 y de acuerdo con la ley 1607 del 2012 que establece que: “(…) Durante ese año, todas las Madres Comunitarias estarán formalizadas laboralmente y devengarán un salario mínimo o su equivalente de acuerdo con el tiempo de dedicación al Programa”, se elimina de la canasta el Concepto Beca Madre Comunitaria o Bonificación y se reemplaza por Salario.
Se realizarán desembolsos periódicos que permitan apalancar la operación de la modalidad. Se descontarán las raciones correspondientes a los cupos no utilizados y a las inasistencias según los lineamientos de la modalidad.
Nota 2. Para las modalidades de HCB, se definirá si existe cobro o no de cuota de participación en asamblea de padres. En aquellos casos donde esta asamblea defina el cobro de la cuota el monto se debe establecer de conformidad con el acuerdo 018 de 2000.
| CONTRATACIÓN | Contrato o convenio de aporte con entidades públicas o privadas un ánimo de lucro, con fines de interés social y de utilidad pública, de reconocida solvencia moral y económica con comprobada experiencia en el manejo y desarrollo de programas sociales y de promoción comunitaria. Entre las entidades se encuentran asociaciones de padres usuarios de los niños y niñas beneficiarios, Cooperativas, Organizaciones Comunitarias. Organizaciones no Gubernamentales - ONG, Cajas de Compensación Familiar y demás entidades sin ánimo de lucro. | |||
| CLASIFICADOR DEL GASTO | - Dotación Inicial; - Raciones; - Material didáctico de consumo; - Material didáctico duradero; - Aseo y combustible; - Reposición de dotación; - Talento Humano - Gastos administrativo - Pago de pólizas y publicaciones (cuando aplica) | |||
LINEAMIENTOS TÉCNICOS | Para la implementación de las diferentes Modalidades de Atención Integral, aplica el Manual Operativo elaborado por La Dirección de Primera infancia, sin perjuicio de los lineamientos técnicos específicos vigentes Normatividad vigente. - Ley 12 de 1991, Convención Internacional sobre los Derechos del Niño - Código de Infancia y Adolescencia Ley 1098 de 2008 - CONPES109 de 2007 Política de Primera Infancia - CONPES 113 de 2007 Política de seguridad alimentaria - Ley 1295 de 2009 sobre Atención integral a la Primera Infancia Lineamientos: - HCB - Resolución no 5827 de 2014. Por la cual se aprueba el lineamiento técnico administrativo, modalidad hogares comunitarios de bienestar en todas sus formas (FAMI, familiares, grupales, múltiples, múltiples empresariales y jardines sociales) para la atención a niños y niñas hasta los cinco (5) años de edad. - Fundamentos Políticos, Técnicos y de Gestión de la estrategia de Atención Integral a la Primera infancia - Referentes Técnicos para la educación inicial en el marco de la atención Integral. - Superintendencia del Subsidio Familiar. Programas de atención integral a la niñez. Circulares externas 010 de marzo de 2006 y 016 de abril de 2006. Bogotá, D.C. | |||
Vo. Bo. | KAREN CECILIA ABUDINEN ABUCHAIBE Directora de Primera Infancia | ALVARO RAMÓN ANTONIO MOSQUERA RAMOS Profesional Especializado encargado de las funciones de la Subdirección de Programación | FECHA DE EXPEDICIÓN: Octubre de 2015 | |
| Ficha: I-36 | PRG | SPR | PROV | SBPY |
| 320 | 1504 | 4 | 126 | |
| PROYECTO | ASISTENCIA A LA PRIMERA INFANCIA A NIVEL NACIONAL | |||
| SUBPROYECTO | HOGARES MÚLTIPLES– INSTITUCIONAL (I) | |||
| MODALIDAD | HOGARES EMPRESARIALES– INSTITUCIONAL (I) | |||
| OBJETIVO | GENERAL | Garantizar el servicio de educación inicial, cuidado y nutrición a niños y niñas menores de 5 años, en medio institucional, en el marco de la Atención Integral y diferencial, a través de acciones pedagógicas, de cuidado calificado y nutrición, así como la realización de gestiones para promover los derechos de salud, protección y participación que permitan favorecer su desarrollo integral. | ||
| ESPECÍFICOS | - Suministrar el complemento nutricional que aporta mínimo el 70% de las recomendaciones diarias de energía y nutrientes a los niños y niñas por grupo de edad, atendidos en la jornada de tiempo completo. - Fomentar estilos de vida saludables que favorezcan la salud desde la primera infancia y en las siguientes etapas del ciclo vital, mediante el desarrollo de procesos formativos en la práctica de la actividad física, hábitos alimentarios y auto cuidado. | |||
POBLACIÓN OBJETIVO
- Niños y niñas en el rango de edad establecido que hacen parte de las familias que han sido víctimas del conflicto interno armado.
- Niños y niñas en el rango de edad establecido que hacen parte de las familias focalizadas por la Red Unidos.
- Niños y niñas en el rango de edad establecido pertenecientes a hogares cuyo puntaje SSBEN III (Sistema de información de Potenciales Beneficiarios), sea igual o inferior a los nuevos puntos de corte definidos para la primera infancia.
- Niños y niñas en el rango de edad establecido pertenecientes a grupos étnicos.
- Que el núcleo familiar perciba ingresos hasta de 1.5 SMMLV (Aplica para los Hogares Infantiles que transitan a CDI).
NIVEL
14 CIUDADES [1]
RESTO URBANO
RURAL DISPERSO
ÚNICO
57.21
56.32
40.75
[1] 14 ciudades principales: Bogotá D C. Medellín, Cali, Barranquilla, Cartagena, Cúcuta, Bucaramanga, Ibagué, Pereira, Villavicencio, Pasto, Montería, Manizales y Santa Marta son sin sus áreas metropolitanas. Así mismo, incluye La zona urbana diferente a las 14 principales ciudades, los centros poblados y la zona rural dispersa de las 14 principales ciudades.
- Excepcionalmente serán atendidos los niños y niñas con 5 años cumplidos, que no Ingresaron en la vigencia al sistema educativo formal (grado transición)
ACCIONES | - Nutrición y salud. Con relación al componente nutricional, el Instituto garantiza a los niños y niñas el suministro de aumentación inocua que aporte mínimo el 70% de las recomendaciones dianas de energía y nutrientes, según grupos de edad, para tiempo completo. Se realiza seguimiento nutricional a los beneficiarios, de forma trimestral, para registro por el operador en el sistema de información definido y definición de Plan de Intervención. - En situaciones excepcionales en que los niños y niñas no puedan desplazarse a las unidades de servicios (orden público, desastres naturales) y previo concepto de la Dirección de Primera Infancia, se podrá entregar la ración día en forma de paquete basados en el valor de la ración diaria y que cubra el requerimiento nutricional establecido en la minuta patrón, para lo cual la nutricionista del respectivo centro zonal, elaborará el contenido del paquete. Es importante resaltar, que es mientras se supera la emergencia. - Psicosocial: Para el desarrollo de este componente se aplica el Proyecto Pedagógico Educativo y Comunitario del ICBF bajo el enfoque de desarrollo humano, y la concepción de desarrollo infantil en el marco de los referentes técnicos para la educación inicial en el marco de la atención integral. - Familia y Comunidad: Los hogares Comunitarios de Bienestar, contemplan el trabajo con padres de familia, centrado en el desarrollo de competencias para el cuidado, la protección y el desarrollo de sus hijos e hijas, los padres de familia constituyen biológica y socialmente los soportes y significaciones más importantes en el desarrollo del vínculo afectivo y del proceso de socialización de los niños y niñas, razón por la cual es fundamental desarrollar con ellos procesos de formación que les ayuden a poner en práctica contenidos básicos para el desarrollo psíquico, afectivo y físico tendiente a lograr que el niño y la niña crezcan en relaciones de ética y responsabilidad consigo mismo, con los demás y con el mundo que les rodea. - Coordinación del SNBF. Para esta forma de atención, el ICBF aporta los mismos costos y conceptos del gasto del Hogar Comunitario | |
| TIEMPO DE FUNCIONA MIENTO | 200 días con aporte de ICBF | |
| ROTACIÓN | Niño por cupo año | |
| BIENESTA RINA | Niños y niñas de 6 meses a 4 años 11 meses 29 días: 15 gramos/niño/día hábil por 200 días; 5.400 gramos/niño/año para llevar a la casa (un paquete de 900 gramos en febrero, abril, junio, agosto, octubre y noviembre) | |
Para esta modalidad aplica canasta con reposición de dotación sin gastos administrativos
Para los hogares empresariales, jardines sociales y hogares múltiples que o transitan a CDI el ICBF seguirá aportando el valor correspondiente para Hogares Comunitarios acorde con la jornada de atención.
OBJETO DEL GASTO
JARDIN SOCIAL ANUAL 2015
OBJETO DEL GASTO
FORMA DE PAGO 2015
Tiempo 2015
Costo
2015
CTO/AÑO por Objeto del Gasto 2015
CTO / AÑO por Objeto del Gasto 2015
CTO/AÑO por Objeto del Gasto 2015
HOGAR
Con 14 Niños
Con 13 Niños
Con 12 Niños
DOTACIÓN
DOTACION
HOG./NUEVO
1. 211. 660
R£POSION DOTACION
HOG /AÑO
1
121.165
121.165
121.165
121.165
BECA
MAT.DIDACT.OE CONSUMO
NIÑO/DIA
200
66
184. 800
171. 600
158.400
MAT.DIDACT.DURADERO
HOG./AÑO
1
126.302
126.302
126.302
126.302
ASEO, COMB V SIRV P
HOGAR/DIA
315
1. 006
316. 890
316. 890
316.890
GASTOS ADMINISTRATIVOS
NIÑO/AÑO
12
626
SALARIO MADRE COMUNITARIA
SALARIO
HOGAR/MES
1.069.217
12.830 604
12.830 604
12.830.604
RACIONES
RACION DIA HABIL
REGIONALES
NIÑO/DIA
200
2.463
6.910.400
6. 416. 800
5.923.200
SAN ANDRES y ANTIGUAS SECCIONALES
NIÑO/DIA
200
2.853
7. 983.400
7.417.800
6.847.203
RACION VACACIONES
REGIONALES
NIÑO/DIA
30
1.001
420.420
390.390
360.360
SAN ANDRES Y ANTIGUAS SECCIONALES
NIÑO/DIA
30
1.131
475.020
441.090
407.160
Con 14 Niños
Con 13 Niños
Con 12 Niños
COSTO HOGAR / AÑO 2015
REGIONALES
20.784.279
20.247.449
19.710. 619
SAN ANDRES Y ANTIGUAS SECCIONALES
21.916.879
21.299.149
20.681.419
Nota 1: A partir del mes de febrero de 2014 y de acuerdo con la ley 1607 del 2012 que establece que: “(…) Durante ese año, todas las Madres Comunitarias estarán formalizadas laboralmente y devengarán un salario mínimo o su equivalente de acuerdo con el tiempo de dedicación al Programa”, se elimina de la canasta el Concepto Beca Madre Comunitaria o Bonificación y se reemplaza por Salario.
Se realizarán desembolsos periódicos que permitan apalancar la operación de la modalidad. Se descontarán las raciones correspondientes a los cupos no utilizados y a las inasistencias según los lineamientos de la modalidad.
Nota 2. Para las modalidades de HCB, se definirá si existe cobro o no de cuota de participación en asamblea de padres. En aquellos casos donde esta asamblea defina el cobro de la cuota el monto se debe establecer de conformidad con el acuerdo 018 de 2000.
| CONTRATACIÓN | Contrato o convenio de aporte con entidades públicas o privadas un ánimo de lucro, con fines de interés social y de utilidad pública, de reconocida solvencia moral y económica con comprobada experiencia en el manejo y desarrollo de programas sociales y de promoción comunitaria. Entre las entidades se encuentran asociaciones de padres usuarios de los niños y niñas beneficiarios, Cooperativas, Organizaciones Comunitarias. Organizaciones no Gubernamentales - ONG, Cajas de Compensación Familiar y demás entidades sin ánimo de lucro. | |||
| CLASIFICADOR DEL GASTO | - Dotación Inicial; - Raciones; - Material didáctico de consumo; - Material didáctico duradero; - Aseo y combustible; - Reposición de dotación; - Talento Humano - Gastos administrativo - Pago de pólizas y publicaciones (cuando aplica) | |||
LINEAMIENTOS TÉCNICOS | Para la implementación de las diferentes Modalidades de Atención Integral, aplica el Manual Operativo elaborado por La Dirección de Primera infancia, sin perjuicio de los lineamientos técnicos específicos vigentes Normatividad vigente. - Ley 12 de 1991, Convención Internacional sobre los Derechos del Niño - Código de Infancia y Adolescencia Ley 1098 de 2008 - CONPES109 de 2007 Política de Primera Infancia - CONPES 113 de 2007 Política de seguridad alimentaria - Ley 1295 de 2009 sobre Atención integral a la Primera Infancia Lineamientos: - HCB - Resolución no 5827 de 2014. Por la cual se aprueba el lineamiento técnico administrativo, modalidad hogares comunitarios de bienestar en todas sus formas (FAMI, familiares, grupales, múltiples, múltiples empresariales y jardines sociales) para la atención a niños y niñas hasta los cinco (5) años de edad. - Fundamentos Políticos, Técnicos y de Gestión de la estrategia de Atención Integral a la Primera infancia - Referentes Técnicos para la educación inicial en el marco de la atención Integral. - Superintendencia del Subsidio Familiar. Programas de atención integral a la niñez. Circulares externas 010 de marzo de 2006 y 016 de abril de 2006. Bogotá, D.C. | |||
Vo. Bo. | KAREN CECILIA ABUDINEN ABUCHAIBE Directora de Primera Infancia | ALVARO RAMÓN ANTONIO MOSQUERA RAMOS Profesional Especializado encargado de las funciones de la Subdirección de Programación | FECHA DE EXPEDICIÓN: Octubre de 2015 | |
| Ficha: I-37 | PRG | SPR | PROV | SBPY |
| 320 | 1504 | 4 | 127 | |
| PROYECTO | ASISTENCIA A LA PRIMERA INFANCIA A NIVEL NACIONAL | |||
| SUBPROYECTO | HCB AGRUPADOS - INSTITUCIONAL (I) | |||
| MODALIDAD | HCB AGRUPADOS - INSTITUCIONAL (I) | |||
| OBJETIVO | GENERAL | Brindar atención a los niños y niñas menores de cinco años en escenarios institucionales, de propiedad de los entes territoriales o en las viviendas de los agentes educativos, en los que se implementan acciones orientadas a fortalecer el desarrollo de los niños y niñas, y a fomentar la salud y nutrición. Así como apoyar a las familias en desarrollo de la cualificación de las relaciones intrafamiliares y el fortalecimiento de vínculos afectivos, para que apoyen el desarrollo de los niños y niñas desde su gestación, vinculando además a otros adultos para que participen en la crianza de los niños. | ||
| ESPECÍFICOS | - Suministrar el complemento nutricional que aporta mínimo el 70% de las recomendaciones diarias de energía y nutrientes a los niños y niñas por grupo de edad, atendidos en la jornada de tiempo completo. - Propiciar en los niños usuarios su desarrollo psicosocial integral, a través de actividades pedagógicas grupales que enriquezcan las relaciones con los demás, consigo mismo y con el mundo que los rodea. - Garantizar el cuidado de los niños y niñas, su protección integral y apoyar la garantía y restitución de sus derechos. - Desarrollar acciones para hacer partícipe a los niños, niñas y sus familias en las decisiones que le competen y afecten. - Brindar las condiciones que propicien el desarrollo de los procesos físicos, psicológicos y de socialización de los niños menores de 5 años. | |||
POBLACIÓN OBJETIVO
- Niños y niñas en el rango de edad establecido que hacen parte de las familias que han sido víctimas del conflicto interno armado.
- Niños y niñas en el rango de edad establecido que hacen parte de las familias focalizadas por la Red Unidos.
- Niños y niñas en el rango de edad establecido pertenecientes a hogares cuyo puntaje SSBEN III (Sistema de información de Potenciales Beneficiarios), sea igual o inferior a los nuevos puntos de corte definidos para la primera infancia.
- Niños y niñas en el rango de edad establecido pertenecientes a grupos étnicos.
- Que el núcleo familiar perciba ingresos hasta de 1.5 SMMLV (Aplica para los Hogares Infantiles que transitan a CDI).
NIVEL
14 CIUDADES [1]
RESTO URBANO
RURAL DISPERSO
ÚNICO
57.21
56.32
40.75
[1] 14 ciudades principales: Bogotá D C. Medellín, Cali, Barranquilla, Cartagena, Cúcuta, Bucaramanga, Ibagué, Pereira, Villavicencio, Pasto, Montería, Manizales y Santa Marta son sin sus áreas metropolitanas. Así mismo, incluye La zona urbana diferente a las 14 principales ciudades, los centros poblados y la zona rural dispersa de las 14 principales ciudades.
- Excepcionalmente serán atendidos los niños y niñas con S años cumplidos, que no Ingresaron en la vigencia al sistema educativo formal (grado transición)
ACCIONES | - Nutrición y salud. Con relación al componente nutricional, el Instituto garantiza a los niños y niñas el suministro de aumentación inocua que aporte mínimo el 70% de las recomendaciones dianas de energía y nutrientes, según grupos de edad, para tiempo completo. Se realiza seguimiento nutricional a los beneficiarios, de forma trimestral, para registro por el operador en el sistema de información definido y definición de Plan de Intervención. - En situaciones excepcionales en que los niños y niñas no puedan desplazarse a las unidades de servicios (orden público, desastres naturales) y previo concepto de la Dirección de Primera Infancia, se podrá entregar la ración día en forma de paquete basados en el valor de la ración diaria y que cubra el requerimiento nutricional establecido en la minuta patrón, para lo cual la nutricionista del respectivo centro zonal, elaborará el contenido del paquete. Es importante resaltar, que es mientras se supera la emergencia. - Psicosocial: Para el desarrollo de este componente se aplica el Proyecto Pedagógico Educativo y Comunitario del ICBF bajo el enfoque de desarrollo humano, y la concepción de desarrollo infantil en el marco de los referentes técnicos para la educación inicial en el marco de la atención integral. - Familia y Comunidad: Los hogares Comunitarios de Bienestar, contemplan el trabajo con padres de familia, centrado en el desarrollo de competencias para el cuidado, la protección y el desarrollo de sus hijos e hijas, los padres de familia constituyen biológica y socialmente los soportes y significaciones más importantes en el desarrollo del vínculo afectivo y del proceso de socialización de los niños y niñas, razón por la cual es fundamental desarrollar con ellos procesos de formación que les ayuden a poner en práctica contenidos básicos para el desarrollo psíquico, afectivo y físico tendiente a lograr que el niño y la niña crezcan en relaciones de ética y responsabilidad consigo mismo, con los demás y con el mundo que les rodea. - Coordinación del SNBF. Para esta forma de atención, el ICBF aporta los mismos costos y conceptos del gasto del Hogar Comunitario | |
| TIEMPO DE FUNCIONA MIENTO | 200 días al año para atención directa al niño y 12 meses para el pago de salarios y prestaciones sociales de los agentes educativos en el marco del contrato de aporte. | |
| ROTACIÓN | Niño por cupo año | |
| BIENESTA RINA | Niños y niñas de 6 meses a 4 años 11 meses 29 días: 15 gramos/niño/día hábil por 200 días; 5.400 gramos/niño/año para llevar a la casa (un paquete de 900 gramos en febrero, abril, junio, agosto, octubre y noviembre) | |
Gastos administrativos: este recurso se incluye con el fin de apoyar a las Asociaciones de padres usuarios del ´programa Hogares Comunitarios de Bienestar para que puedan contar con un apoyo en la parte administrativa.
El cálculo de este concepto se realizó de la siguiente manera:
Contador Público
Costo/hogar/mes
1.648
Papelería
Costo/hogar/mes
56
Registros administrativos
Costo/hogar/mes
6.436
Costo/hogar/mes
8.140
Costo/hogar/mes
626
OBJETO DEL GASTO
JARDIN SOCIAL ANUAL 2015
OBJETO DEL GASTO
FORMA DE PAGO 2015
Tiempo 2015
Costo
2015
CTO/AÑO por Objeto del Gasto 2015
CTO / AÑO por Objeto del Gasto 2015
CTO/AÑO por Objeto del Gasto 2015
HOGAR
Con 14 Niños
Con 13 Niños
Con 12 Niños
DOTACIÓN
DOTACION
HOG./NUEVO
1. 211. 660
R£POSION DOTACION
HOG /AÑO
1
121.165
121.165
121.165
121.165
BECA
MAT.DIDACT.OE CONSUMO
NIÑO/DIA
200
66
184. 800
171. 600
158.400
MAT.DIDACT.DURADERO
HOG./AÑO
1
126.302
126.302
126.302
126.302
ASEO, COMB V SIRV P
HOGAR/DIA
315
1. 006
316. 890
316. 890
316.890
GASTOS ADMINISTRATIVOS
NIÑO/AÑO
12
626
SALARIO MADRE COMUNITARIA
SALARIO
HOGAR/MES
1.069.217
12.830 604
12.830 604
12.830.604
RACIONES
RACION DIA HABIL
REGIONALES
NIÑO/DIA
200
2.463
6.910.400
6. 416. 800
5.923.200
SAN ANDRES y ANTIGUAS SECCIONALES
NIÑO/DIA
200
2.853
7. 983.400
7.417.800
6.847.203
RACION VACACIONES
REGIONALES
NIÑO/DIA
30
1.001
420.420
390.390
360.360
SAN ANDRES Y ANTIGUAS SECCIONALES
NIÑO/DIA
30
1.131
475.020
441.090
407.160
Con 14 Niños
Con 13 Niños
Con 12 Niños
COSTO HOGAR / AÑO 2015
REGIONALES
20.784.279
20.247.449
19.710. 619
SAN ANDRES Y ANTIGUAS SECCIONALES
21.916.879
21.299.149
20.681.419
Nota 1: Para la vigencia 2015 se reconocerá el concepto de reposición de dotación en el valor cupo niño de estas unidades.
Nota 2. Para las modalidades de HCB AGRUPADOS se reconocerá el pago de pólizas y publicaciones de acuerdo a las necesidades identificadas por las regionales y de acuerdo a los montos de los contratos.
Nota 3. A partir de febrero de 2014, y de acuerdo con la Ley 1607 de 2012 que establece “(…) Durante este año, todas las Madres comunitarias estarán formalizadas laboralmente y devengarán un salario mínimo o su equivalente de acuerdo con el tiempo de dedicación al Programa. Por lo anterior, se elimina el Concepto Beca Madre Comunitaria o bonificación y se reemplaza por salarios y prestaciones sociales para agentes educativos.
Se realizarán desembolsos periódicos que permitan apalancar la operación de la modalidad. Se descontarán las raciones correspondientes a los cupos no utilizados y a las inasistencias según los lineamientos de la modalidad.
| CONTRATACIÓN | Contrato o convenio de aporte con entidades públicas o privadas un ánimo de lucro, con fines de interés social y de utilidad pública, de reconocida solvencia moral y económica con comprobada experiencia en el manejo y desarrollo de programas sociales y de promoción comunitaria. Entre las entidades se encuentran asociaciones de padres usuarios de los niños y niñas beneficiarios, Cooperativas, Organizaciones Comunitarias. Organizaciones no Gubernamentales - ONG, Cajas de Compensación Familiar y demás entidades sin ánimo de lucro. | ||
| CLASIFICADOR DEL GASTO | - Dotación Inicial; - Raciones; - Material didáctico de consumo; - Material didáctico duradero; - Aseo y combustible; - Reposición de dotación; - Talento Humano - Gastos administrativo - Pago de pólizas y publicaciones (cuando aplica) | ||
LINEAMIENTOS TÉCNICOS | Para la implementación de las diferentes Modalidades de Atención Integral, aplica el Manual Operativo elaborado por La Dirección de Primera infancia, sin perjuicio de los lineamientos técnicos específicos vigentes Normatividad vigente. - Ley 12 de 1991, Convención Internacional sobre los Derechos del Niño - Código de Infancia y Adolescencia Ley 1098 de 2008 - CONPES109 de 2007 Política de Primera Infancia - CONPES 113 de 2007 Política de seguridad alimentaria - Ley 1295 de 2009 sobre Atención integral a la Primera Infancia Lineamientos: - HCB - Resolución no 5827 de 2014. Por la cual se aprueba el lineamiento técnico administrativo, modalidad hogares comunitarios de bienestar en todas sus formas (FAMI, familiares, grupales, múltiples, múltiples empresariales y jardines sociales) para la atención a niños y niñas hasta los cinco (5) años de edad. - Fundamentos Políticos, Técnicos y de Gestión de la estrategia de Atención Integral a la Primera infancia - Referentes Técnicos para la educación inicial en el marco de la atención Integral. - Superintendencia del Subsidio Familiar. Programas de atención integral a la niñez. Circulares externas 010 de marzo de 2006 y 016 de abril de 2006. Bogotá, D.C. | ||
Vo. Bo. | KAREN CECILIA ABUDINEN ABUCHAIBE Directora de Primera Infancia | ALVARO RAMÓN ANTONIO MOSQUERA RAMOS Profesional Especializado encargado de las funciones de la Subdirección de Programación | FECHA DE EXPEDICIÓN: Octubre de 2015 |















