RESOLUCIÓN CRA 720 DE 2015
(julio 9)
Diario Oficial No. 49.569 de 10 de julio de 2015
COMISIÓN DE REGULACIÓN DE AGUA POTABLE Y SANEAMIENTO BÁSICO
Por la cual se establece el régimen de regulación tarifaria al que deben someterse las personas prestadoras del servicio público de aseo que atiendan en municipios de más de 5.000 suscriptores en áreas urbanas, la metodología que deben utilizar para el cálculo de las tarifas del servicio público de aseo y se dictan otras disposiciones.
LA COMISIÓN DE REGULACIÓN DE AGUA POTABLE Y SANEAMIENTO BÁSICO,
en ejercicio de sus facultades legales, en especial de las conferidas por las Leyes 142 de 1994, 1450 de 2011 y 1753 de 2015, los Decretos 1524 de 1994, 2882 y 2883 de 2007, y
CONSIDERANDO:
Que el artículo 334 de la Constitución Política de Colombia consagra que la dirección general de la economía estará a cargo del Estado, el cual intervendrá por mandato de la ley, entre otras actividades, en los servicios públicos y privados, para racionalizar la economía con el fin de conseguir el mejoramiento de la calidad de vida de los habitantes, la distribución equitativa de las oportunidades y los beneficios del desarrollo y la preservación de un ambiente sano;
Que el artículo 365 ibídem dispone que los servicios públicos son inherentes a la finalidad social del Estado y que es deber del Estado asegurar su prestación eficiente a todos los habitantes del territorio nacional;
Que el artículo 367 de la Constitución Política de Colombia determina que la ley fijará las competencias relativas a la prestación de los servicios públicos domiciliarios, su cobertura, calidad y financiación, el régimen tarifario y las entidades competentes para fijar las tarifas;
Que el artículo 370 ibídem, prevé que corresponde al Presidente de la República señalar, con sujeción a la ley, las políticas generales de administración y control de eficiencia de los servicios públicos domiciliarios y ejercer por medio de la Superintendencia de Servicios Públicos Domiciliarios, el control, la inspección y vigilancia de las entidades que los presten;
Que el artículo 2o de la Ley 142 de 1994 dispone que el Estado intervendrá en los servicios públicos en el marco de lo dispuesto en los artículos 334, 336 y 365 a 370 de la Constitución Política, entre otras razones, para asegurar su prestación eficiente;
Que en virtud de lo anterior, el Presidente de la República mediante Decreto 1524 de 1994, delegó las funciones Presidenciales de señalar políticas generales de administración y control de eficiencia en los servicios públicos domiciliarios, en las Comisiones de Regulación;
Que el artículo 3o de la Ley 142 de 1994 señala que constituyen instrumentos para la intervención estatal en los servicios públicos, todas las atribuciones y funciones asignadas a las entidades, autoridades y organismos de que trata dicha ley, especialmente las relativas, entre otras, a la regulación de la prestación de los servicios públicos, teniendo en cuenta las características de cada región; la fijación de metas de eficiencia, cobertura y calidad, evaluación de las mismas, y la definición del régimen tarifario;
Que el artículo 11 ibídem, dispone que para cumplir con la función social de la propiedad, pública o privada, las entidades que presten servicios públicos tienen, entre otras, la obligación de asegurar que el servicio se preste en forma continua y eficiente, y sin abuso de la posición dominante;
Que de conformidad con el numeral 14.10 del artículo 14 de la Ley 142 de 1994, la libertad regulada, es el régimen de tarifas mediante el cual la Comisión de Regulación respectiva fija los criterios y la metodología con arreglo a los cuales las personas prestadoras de servicios públicos domiciliarios pueden determinar o modificar los precios máximos para los servicios ofrecidos al usuario o consumidor;
Que el numeral 14.11 del artículo 14 ibídem dispone que la libertad vigilada es el régimen de tarifas mediante el cual las personas prestadoras de servicios públicos domiciliarios pueden determinar libremente las tarifas de venta a medianos y pequeños consumidores, con la obligación de informar por escrito a las comisiones de regulación, sobre las decisiones tomadas en esta materia;
Que en el numeral 14.18 del artículo 14 de la Ley 142 de 1994, se establece que la regulación de los servicios públicos domiciliarios es la facultad de dictar normas de carácter general o particular en los términos de la Constitución y de la mencionada ley, para someter la conducta de las personas que prestan los servicios públicos domiciliarios a las reglas, normas, principios y deberes establecidos por la ley y los reglamentos;
Que el numeral 14.24 del artículo 14 ibídem, modificado por el artículo 1o de la Ley 632 de 2000 y por el artículo 1o de la Ley 689 de 2001, define el servicio público de aseo “Es el servicio de recolección municipal de residuos, principalmente sólidos” y establece que “También se aplicará esta ley a las actividades complementarias de transporte, tratamiento, aprovechamiento y disposición final de tales residuos”;
Que el citado artículo establece adicionalmente, como actividades complementarias del servicio público de aseo, el corte de césped y poda de árboles ubicados en las vías y áreas públicas, lavado de estas áreas, transferencia, tratamiento y aprovechamiento;
Que el artículo 40 de la Ley 142 de 1994 dispone respecto de las Áreas de Servicio Exclusivo que “Por motivos de interés social y con el propósito de que la cobertura de los servicios públicos de acueducto y alcantarillado, saneamiento ambiental, distribución domiciliaria de gas combustible por red y distribución domiciliaria de energía eléctrica, se pueda extender a las personas de menores ingresos, la entidad o entidades territoriales competentes, podrán establecer mediante invitación pública, áreas de servicio exclusivas, en las cuales podrá acordarse que ninguna otra empresa de servicios públicos pueda ofrecer los mismos servicios en la misma área durante un tiempo determinado. Los contratos que se suscriban deberán en todo caso precisar el espacio geográfico en el cual se prestará el servicio, los niveles de calidad que debe asegurar el contratista y las obligaciones del mismo respecto del servicio. También podrán pactarse nuevos aportes públicos para extender el servicio”;
Que el artículo 68 de la Ley 142 de 1994 establece que el señalamiento de las políticas a que hace referencia el artículo 370 de la Constitución Política de Colombia, se podrá delegar en las Comisiones de Regulación;
Que el artículo 73 de la Ley 142 de 1994 establece las funciones y facultades generales de las Comisiones de Regulación y en la misma disposición se establece que estas Unidades Administrativas Especiales: “(...) tienen la función de regular los monopolios en la prestación de los servicios públicos, cuando la competencia no sea, de hecho, posible; y, en los demás casos, la de promover la competencia entre quienes presten servicios públicos, para que las operaciones de los monopolistas o de los competidores sean económicamente eficientes, no impliquen abuso de la posición dominante, y produzcan servicios de calidad. Para ello tendrán las siguientes funciones y facultades especiales:
(...).
“73.11. Establecer fórmulas para la fijación de las tarifas de los servicios públicos, cuando ello corresponda según lo previsto en el artículo 88; y señalar cuándo hay suficiente competencia como para que la fijación de las tarifas sea libre”;
Que de conformidad con lo establecido en el numeral 73.21 del artículo 73 de la Ley 142 de 1994, es función de la Comisión señalar, de acuerdo con la ley, criterios generales sobre abuso de posición dominante en los contratos de servicios públicos, y sobre la protección de los derechos de los usuarios en lo relativo a facturación, comercialización y demás asuntos relativos a la relación de la empresa con el usuario;
Que, a su turno, el inciso final del artículo 73 ibídem dispone que “…las comisiones, tendrán facultad selectiva de pedir información, amplia, exacta, veraz y oportuna a quienes prestan los servicios públicos a los que esta Ley se refiere inclusive si sus tarifas no están sometidas a regulación…”;
Que el artículo 14 de la Ley 689 de 2001 adiciona un artículo nuevo a la Ley 142 de 1994, en el cual se señala que el sistema de información que desarrolle la Superintendencia de Servicios Públicos Domiciliarios será único para cada uno de los servicios públicos, actividades inherentes y actividades complementarias de que tratan las Leyes 142 y 143 de 1994, y tendrá como propósitos, entre otros: servir de base a la Superintendencia de Servicios Públicos en el cumplimiento de sus funciones de control, inspección y vigilancia; apoyar las funciones asignadas a las Comisiones de Regulación; facilitar el ejercicio del derecho de los usuarios de obtener información completa, precisa y oportuna, sobre todas las actividades y operaciones directas o indirectas que se realicen para la prestación de los servicios públicos, conforme a lo establecido en el numeral 9.4 del artículo 9o de la Ley 142 de 1994;
Que el literal a) del numeral 74.2 del artículo 74 de la Ley 142 de 1994, dispone que es función especial de la Comisión de Regulación de Agua Potable y Saneamiento Básico, promover la competencia entre quienes presten los servicios mencionados o regular los monopolios en su prestación, cuando la competencia no sea posible y, que para el efecto, puede adoptar reglas de comportamiento diferencial, según sea la posición de las empresas en el mercado;
Que el régimen tarifario aplicable a los servicios públicos, de conformidad con el numeral 86.4 del artículo 86 ibídem, está compuesto por, entre otros, las reglas relativas a procedimientos, metodologías, fórmulas, estructuras, estratos, facturación, opciones, valores y, en general, todos los aspectos que determinan el cobro de las tarifas;
Que el artículo 87 ibídem preceptúa que el régimen tarifario estará orientado por los criterios de eficiencia económica, neutralidad, solidaridad, redistribución, suficiencia financiera, simplicidad y transparencia;
Que en virtud del principio de eficiencia económica establecido en el numeral 87.1 del artículo 87 de la Ley 142 de 1994, “(…) el régimen de tarifas procurará que estas se aproximen a lo que serían los precios de un mercado competitivo (…)” y “las fórmulas tarifarias no pueden trasladar a los usuarios los costos de una gestión ineficiente, ni permitir que las empresas se apropien de las utilidades provenientes de prácticas restrictivas de la competencia (…)”;
Que de acuerdo con el principio de suficiencia financiera definido en el numeral 87.4 del artículo 87 de la Ley 142 de 1994, se debe garantizar a las empresas eficientes la recuperación de sus costos de inversión y sus gastos de administración, operación y mantenimiento, y permitir la remuneración del patrimonio de los accionistas en la misma forma en la que lo habría remunerado una empresa eficiente en un sector de riesgo comparable;
Que el numeral 87.7 del artículo 87 de la Ley 142 de 1994 dispone que “(…) si llegare a existir contradicción entre el criterio de eficiencia y el de suficiencia financiera, deberá tomarse en cuenta que, para una empresa eficiente, las tarifas económicamente eficientes se definirán tomando en cuenta la suficiencia financiera”;
Que, en consecuencia, la Comisión de Regulación de Agua Potable y Saneamiento Básico, al desarrollar la metodología tarifaria contenida en la presente Resolución, considera solo los costos eficientes asociados con la prestación del servicio incorporados en esta, los cuales se encuentran detallados en el documento de trabajo, base del presente acto;
Que de conformidad con el numeral 87.8 del artículo 87 de la Ley 142 de 1994 “Toda tarifa tendrá un carácter integral en el sentido que supondrá una calidad y grado de cobertura del servicio, cuyas características definirán las comisiones reguladoras (…)”;
Que cuando se establezcan Áreas de Servicio Exclusivo para la prestación del servicio público de aseo puede darse aplicación a lo establecido en el parágrafo 1 del artículo 87 de la Ley 142 de 1994, o utilizar las fórmulas tarifarias establecidas en la presente resolución;
Que de conformidad con lo establecido en el artículo 88 de la Ley 142 de 1994, al fijar sus tarifas, las empresas de servicios públicos se someterán al régimen de regulación, definido por la respectiva Comisión de Regulación;
Que según lo dispuesto por el numeral 88.1 del artículo 88 de la Ley 142 de 1994, las personas prestadoras deberán ceñirse a las fórmulas que defina periódicamente la respectiva Comisión para fijar sus tarifas de acuerdo con los estudios de costos. La comisión reguladora podrá establecer topes máximos y mínimos tarifarios, de obligatorio cumplimiento por parte de las empresas y podrá definir las metodologías para la fijación de tarifas, si conviene aplicar el régimen de libertad regulada o vigilada;
Que el numeral 88.3 del artículo 88 ibídem dispone que las empresas tendrán libertad para fijar tarifas cuando exista competencia entre proveedores y que, corresponde a las comisiones de regulación, determinar cuándo se dan estas condiciones, con base en los criterios y definiciones de la ley de servicios públicos;
Que el artículo 91 de la precitada Ley 142 de 1994 señala que “Para establecer las fórmulas de tarifas se calculará por separado, cuando sea posible, una fórmula para cada una de las diversas etapas del servicio”;
Que el artículo 92 ibídem dispone que “En las fórmulas de tarifas las comisiones de regulación garantizarán a los usuarios a lo largo del tiempo los beneficios de la reducción promedia de costos en las empresas que prestan el servicio; y, al mismo tiempo, darán incentivos a las empresas para ser más eficientes que el promedio, y para apropiarse los beneficios de la mayor eficiencia”;
Que con el mismo propósito, el artículo citado dispone que las comisiones de regulación podrán corregir en las fórmulas los índices de precios aplicables a los costos y gastos de la empresa con un factor que mida los aumentos de productividad que se esperan en ella, y permitir que la fórmula distribuya entre la empresa y el usuario los beneficios de tales aumentos;
Que de acuerdo con el artículo 98 de la Ley 142 de 1994 las Comisiones de Regulación pueden revocar de inmediato las fórmulas de tarifas aplicadas por una persona prestadora cuando se presente una “violación de estas prohibiciones, o de cualquiera de las normas de esta Ley relativas a las funciones de las comisiones”, o “puede dar lugar a que estas sometan a regulación las tarifas de quienes no estuvieren sujetas a ellas”, referido a las prácticas tarifarias restrictivas de la competencia;
Que de conformidad con el artículo 125 de la Ley 142 de 1994, durante el período de vigencia de cada fórmula, las empresas podrán actualizar las tarifas que cobran a sus usuarios aplicando las variaciones en los índices de precios que las fórmulas contienen. Las nuevas tarifas se aplicarán a partir del día quince del mes que corresponda, cada vez que se acumule una variación de, por lo menos, un tres por ciento (3%) en alguno de los índices de precios que considera la fórmula;
Que de conformidad con lo establecido en el artículo 126 de la Ley 142 de 1994, vencido el período de vigencia de las fórmulas tarifarias, estas continuarán rigiendo mientras la Comisión no fije las nuevas;
Que en Sentencia C-1043 de 2003, la Honorable Corte Constitucional consideró “que en el régimen actual, el barrido y la limpieza de las calles hacen parte de los componentes del servicio público domiciliario de aseo”;
Que en la referida sentencia consideró además que la Ley 142 de 1994 dispone que “en el caso del servicio de aseo, las fórmulas para fijar las tarifas tomarán en cuenta, además de los aspectos definidos en el régimen tarifario que establece esa ley, los costos de disposición final de basuras y rellenos sanitarios (artículo 64)”;
Que por tanto, los costos asociados a la prestación de la actividad de barrido deben reflejarse en las fórmulas tarifarias del servicio público de aseo;
Que el artículo 146 de la Ley 142 de 1994 dispone, en cuanto a la medición del consumo y del precio en el contrato, que la empresa y el suscriptor o usuario tienen derecho a que los consumos se midan, a que se empleen para ello los instrumentos de medida que la técnica haya hecho disponibles, y a que el consumo sea el elemento principal del precio que se cobre al suscriptor o usuario;
Que el mismo artículo establece que los principios allí consagrados también se aplicarán al servicio público de aseo con las adaptaciones que exige la naturaleza del servicio y las reglas que la ley de servicios públicos contiene sobre falla del servicio; entendiéndose que el precio que se exija al usuario dependerá no sólo de los factores de costos que contemplan las fórmulas tarifarias sino en todo caso de la frecuencia con que se preste el servicio y del volumen de residuos que se recojan;
Que la citada disposición, prevé que “en cuanto a los servicios de saneamiento básico y aquellos en que por razones de tipo técnico, de seguridad o de interés social, no exista medición individual, la comisión de regulación respectiva definirá los parámetros adecuados para estimar el consumo”;
Que en desarrollo de los estudios adelantados por esta Comisión de Regulación respecto del servicio público de aseo, se hicieron estimaciones sobre la producción de residuos sólidos de los suscriptores del servicio;
Que de conformidad con lo anterior, se hace necesario definir los parámetros y fórmulas, para la estimación del consumo en el marco de la prestación del servicio público de aseo;
Que el artículo 99 de la Ley 1450 de 2011, modificó el numeral 87.9 del artículo 87 de la Ley 142 de 1994 en los siguientes términos:
“87.9 Las Entidades públicas podrán aportar bienes o derechos a las empresas de servicios públicos domiciliarios, siempre y cuando su valor no se incluya en el cálculo de las tarifas que hayan de cobrarse a los usuarios y que en el presupuesto de la entidad que autorice el aporte figure este valor. Las Comisiones de Regulación establecerán los mecanismos necesarios para garantizar la reposición y mantenimiento de estos bienes.
Lo dispuesto en el presente artículo no es aplicable cuando se realice enajenación o capitalización de dichos bienes o derechos”;
Que en la medida en que los bienes o derechos necesarios para la prestación del servicio público de aseo sean aportados bajo condición por entidades públicas, los valores asociados a dichos bienes o derechos deben ser excluidos de las tarifas, lo cual se debe reflejar como un descuento en relación con los costos máximos por actividades definidas en la presente resolución;
Que el artículo 251 de la Ley 1450 de 2011, modificado por el artículo 88 de la Ley 1753 de 2015 “Por la cual se expide el Plan Nacional de Desarrollo 2014-2018 “TODOS POR UN NUEVO PAÍS”, en relación con los rellenos sanitarios dispone que “Las autoridades ambientales, personas prestadoras o entidades territoriales no podrán imponer restricciones sin justificación técnica al acceso a los rellenos sanitarios y/o estaciones de transferencia.”;
Que la misma norma conserva el incentivo para los municipios donde se ubiquen rellenos sanitarios de carácter regional, el cual continuará siendo pagado por la persona prestadora del servicio público de aseo al municipio donde se ubique el relleno sanitario;
Que en el mismo sentido, el citado artículo conserva el incentivo para la ubicación de estaciones de transferencia de residuos sólidos de carácter regional, cuyo valor será pagado al municipio donde se ubique la estación de transferencia regional por parte de la persona prestadora de la actividad;
Que el Ministerio de Vivienda Ciudad y Territorio expidió el Decreto 1077 de 2015 el cual compiló el Decreto 920 de 8 de mayo de 2013, “Por el cual se reglamenta el artículo 251 de la Ley 1450 de 2011 en relación con el incentivo a los municipios donde se ubiquen rellenos sanitarios y estaciones de transferencia regionales para residuos sólidos”, que reglamenta la forma en que la persona prestadora de la actividad de disposición final, responsable del relleno sanitario regional o de la estación de transferencia regional, calcula el valor del incentivo a reconocer al municipio donde se ubique dicha infraestructura al respectivo municipio y/o distrito;
Que la Honorable Corte Constitucional, mediante Auto 275 de 19 de noviembre de 2011, exhortó a la Comisión de Regulación de Agua Potable y Saneamiento Básico “para que revise y defina parámetros generales para la prestación de los servicios de separación, reciclaje, tratamiento y aprovechamiento de residuos sólidos en los términos establecidos en el numeral 115 de esta providencia”;
Que el numeral 115 del Auto 275 de 2011 señala que, para el efecto, “(…) la Comisión trabajará aspectos tales como la separación en la fuente por parte de los usuarios, formalización de rutas y modelos para la recolección, transporte y disposición de material aprovechable por parte de la población recicladora; posibilidades de estímulos para la creación y funcionamiento de organizaciones autorizadas (recicladores) prestadoras de los servicios de reciclaje, tratamiento y aprovechamiento de residuos; reglas de creación y funcionamiento de centros de acopio como intermediarios dentro de los procesos de reciclaje, tratamiento y aprovechamiento, así como para parques de aprovechamiento. (ii) Asegurarse que dichos parámetros se vean reflejados en la metodología tarifaria actualmente en construcción por la Comisión de Regulación (…)”;
Que como lo señaló esta Comisión de Regulación a la Honorable Corte Constitucional en comunicación con Radicado CRA 2012-211-001436-1 de 30 de marzo de 2012, se realizaron “los estudios que sustenten y desarrollen el esquema de base de ingreso para remunerar la actividad de aprovechamiento, en el marco de la estructuración del nuevo marco tarifario de aseo”, en el contexto del cronograma del Plan de Acción de la Comisión de Regulación de Agua Potable y Saneamiento Básico incluido en el documento analizado por la Honorable Corte Constitucional mediante el Auto 084 de 2012;
Que de acuerdo con el numeral 85 del Auto 275 de 2011 de la Honorable Corte Constitucional “Si se tiene en cuenta que el fin de las acciones afirmativas que se demandan, no es otro que el que la operación del servicio público complementario de aprovechamiento esté en cabeza de sus destinatarios naturales -los recicladores-, este podría ser tenido en principio como una formal acción afirmativa. Sin embargo, la eficacia de la medida radica en que este grupo se encuentre materialmente preparado para asumir la operación del servicio. De lo contrario, este cambio de paradigma no tendría ninguna repercusión desde el punto de vista práctico, pues sin la adecuada organización y logística este grupo marginal seguirá realizando su labor sin que se aprecien cambios significativos más allá de que no tendrán la presión de la competencia que implican las rutas formales de reciclaje operadas por los concesionarios …”;
Que en el mencionado Auto, la Honorable Corte Constitucional indica que los recicladores deben adoptar la forma de organización autorizada a que se refiere la Ley 142 de 1994, como contraprestación a las acciones afirmativas que para protegerlos adopten las autoridades, así: “87.3 (…) Es preciso recordar que la prestación del servicio público de aseo en cualquiera de sus componentes, requiere en los términos de la Ley 142 de 1994, que se realice a través de un operador autorizado e inscrito. De esta manera, la entrega oficial de la operación del servicio de recolección y transporte de material aprovechable en la ciudad a los recicladores, exige como medida mínima que se establezcan metas claras y paulatinas para alcanzar este propósito en el corto plazo. De lo contrario, no será posible ejercer control sobre la prestación efectiva de este servicio público que, entre otras cosas, opera bajo la modalidad de libre competencia. (…) 118. Para la Sala es necesario precisar que las medidas de acción afirmativa llamadas a ser dispuestas, pueden representar deberes, cargas u obligaciones para los recicladores en razón a que prestan un servicio público con ingentes beneficios ambientales para el colectivo, tal y como ha sido señalado a lo largo de esta providencia. En ese sentido, el esquema de medidas a cumplir en el corto plazo, de conformidad con la normatividad existente y con las órdenes contenidas en esta providencia, deberá establecer compromisos, cargas y obligaciones en cabeza de los recicladores para su adecuada normalización. Lo anterior, por cuanto la protección especial que merecen como sujetos en condiciones de vulnerabilidad no es obstáculo para disponer acciones de doble vía, dada la naturaleza del servicio público domiciliario y esencial del cual participan”;
Que de acuerdo con lo anterior, los prestadores de la actividad complementaria de aprovechamiento, deben conformarse como una de las formas de personas prestadoras definidas en el artículo 15 de la Ley 142 de 1994;
Que el artículo 88 de la Ley 1753 de 2015, que modificó el artículo 251 de la Ley 1450 de 2011, creó “un incentivo al aprovechamiento de residuos sólidos en aquellas entidades territoriales en cuyo Plan de Gestión Integral de Residuos Sólidos (PGIRS) se hayan definido proyectos de aprovechamiento viables.”, y dispuso que: “El valor por suscriptor de dicho incentivo, se calculará sobre las toneladas de residuos no aprovechables por suscriptor del servicio público de aseo, como un valor adicional al costo de disposición final de estos residuos.”, y que “El Gobierno nacional reglamentará la materia y su implementación podrá ser de forma gradual”.
Que según la Sentencia C-741 de 2003 de la Honorable Corte Constitucional que declaró exequible la expresión “en municipios menores, en zonas rurales y en áreas o zonas urbanas específicas” contenida en el numeral 15.4, del artículo 15 de la Ley 142 de 1994, las organizaciones autorizadas también podrán competir en otras zonas y áreas siempre que cumplan las condiciones establecidas en la ley;
Que de acuerdo con el artículo 48 ibídem “Las empresas de servicios públicos podrán contratar con entidades privadas la definición y diseño de los procedimientos de control interno, así como la evaluación periódica de su cumplimiento, de acuerdo siempre a las reglas que establezcan las Comisiones de Regulación”;
Que en virtud de lo anterior, la CRA en el artículo 1.3.6.4 de la Resolución 151 de 2001, estableció que: “...El ejercicio del control interno en los municipios, empresas industriales y comerciales del Estado y sociedades de economía mixta con capital público igual o superior al 90%, que presten los servicios públicos domiciliarios de acueducto, alcantarillado y aseo deberá ajustarse a lo establecido por la Ley 87 de 1993 y por las normas que la reglamenten, modifiquen o reemplacen. En estos casos, el auditor interno podrá ser el jefe de la unidad o dependencia de control interno, y cumplirá las funciones que señala el artículo 12 de la Ley 87 de 1993”;
Que de acuerdo con el artículo 51 de la Ley 142 de 1994, modificado por el artículo 6o de la Ley 689 de 2001 corresponde a los auditores externos de gestión y resultados informar a la Superintendencia de Servicios Públicos Domiciliarios, las situaciones que pongan en peligro la viabilidad financiera de una empresa, las fallas que encuentren en el control interno, y en general, las apreciaciones de evaluación sobre el manejo de la empresa. Igualmente señala que “En todo caso, deberán elaborar además, al menos una vez al año, una evaluación del manejo de la entidad prestadora”;
Que en vista de que el Decreto 1077 de 2015 definió en su artículo 2.3.2.3.2.2.4 los Criterios y metodología para la localización de áreas para disposición final de residuos sólidos, mediante la tecnología de relleno sanitario numeral 3. Accesibilidad vial; una calificación de cero al sitio que no cuente con vías de acceso”; la regulación reconocerá de manera parcial la construcción de vía externa para el acceso al predio seleccionado para el relleno sanitario, en las condiciones que se establecen en el modelo económico y su documento de trabajo;
Que el artículo 2.3.2.3.5.18 del Decreto 1077 de 2015 en relación con la disponibilidad de recursos económicos estableció: “Con el fin de garantizar la disponibilidad de recursos económicos para realizar el cierre, clausura, pos clausura y posterior monitoreo de los rellenos sanitarios , toda persona prestadora del servicio público de aseo en la actividad de disposición final de residuos sólidos, deberá constituir y mantener una provisión, que garantice la disponibilidad permanente de las sumas acumuladas durante el período de operación del relleno sanitario, necesarias para construir las obras de clausura y pos clausura requeridas y llevar a cabo el monitoreo por el período que se determine en la licencia ambiental. La forma de determinar los valores a provisionar será establecida por la Comisión de Regulación de Agua Potable y Saneamiento Básico en la metodología tarifaria del servicio público de aseo”;
Que el Decreto 1079 de 2015 del Ministerio de Transporte “por medio del cual se expide el decreto único reglamentario del Sector Transporte”, estableció como funciones del Ministro de Transporte establecer los peajes, tarifas, tasas y derechos a cobrar por el uso de la infraestructura de los modos de transporte, excepto el aéreo;
Que con fundamento en los artículos 49 y 79 de la Constitución Política el medio ambiente sano es un derecho colectivo cuya prestación corresponde dirigir, reglamentar y organizar al Estado;
Que el servicio público de aseo, es un servicio de interés colectivo, razón por la cual, la calidad y continuidad en su prestación beneficia directamente a todos los suscriptores o usuarios de la infraestructura y equipamiento urbano;
Que en virtud de los criterios de eficiencia económica, neutralidad y suficiencia financiera, todos los suscriptores o usuarios del servicio público de aseo, deben contribuir al cubrimiento de los costos asociados con las actividades de barrido y limpieza, aprovechamiento y de Limpieza Urbana (CLUS) dadas sus condiciones de salubridad e higiene de la comunidad;
Que el numeral 32 artículo 2.3.2.1.1 del Decreto 1077 de 2015[1] establece que el PGIRS, es el instrumento de planeación municipal o regional que contiene un conjunto ordenado de objetivos, metas, programas, proyectos, actividades y recursos definidos por uno o más entes territoriales para el manejo de los residuos sólidos, basado en la política de gestión integral de los mismos, el cual se ejecutará durante un período determinado, basándose en un diagnóstico inicial, en su proyección hacia el futuro y en un plan financiero viable que permita garantizar el mejoramiento continuo del manejo de residuos y la prestación del servicio público de aseo a nivel municipal o regional, evaluado a través de la medición de resultados;
Que la misma norma señala que corresponde a la entidad territorial la formulación, implementación, evaluación, seguimiento y control y actualización del PGIRS;
Que el artículo 2.3.2.2.2.1.15 de la norma en comento estipula que “La persona prestadora del servicio público de aseo deberá estructurar y mantener actualizado un programa de gestión del riesgo de acuerdo a la normatividad vigente, en las diferentes actividades de la prestación del servicio, el cual deberá ser presentado a la Superintendencia de Servicios Públicos Domiciliarios”, y que “la Comisión de Regulación de Agua Potable y Saneamiento Básico establecerá en el marco tarifario, el reconocimiento de la gestión integral del riesgo de acuerdo a la normatividad vigente”.
Que el artículo 2.3.2.2.3.87 del mismo Decreto, establece que los municipios y distritos, deberán elaborar, implementar y mantener actualizado un plan municipal o distrital para la gestión integral de residuos o desechos sólidos en el ámbito local y/o regional según el caso, en el marco de la gestión integral de los residuos, que deberá incorporar y fortalecer de manera permanente y progresiva las acciones afirmativas a favor de la población recicladora;
Que el artículo 2.3.2.2.3.89 del mencionado Decreto señala que los municipios y distritos al actualizar el respectivo plan de gestión integral de residuos sólidos, están en la obligación de diseñar, implementar y mantener actualizados, programas y proyectos sostenibles de aprovechamiento de residuos sólidos;
Que en desarrollo de la actividad señalada en el citado artículo, los municipios y distritos deberán dar prioridad a los estudios de factibilidad sobre aprovechamiento de residuos;
Que el mismo Decreto en su artículo 2.3.2.2.3.95 establece como obligaciones de los municipios y distritos, entre otras, la de formalizar la población recicladora de oficio, para que participe de manera organizada y coordinada en la prestación del servicio público que comprende la actividad complementaria de aprovechamiento, con el fin de dar cumplimiento a lo previsto en este decreto y en la regulación vigente; adoptar y fortalecer las acciones afirmativas en favor de la población recicladora y focalizar las acciones afirmativas para esta población vulnerable;
Que el 24 de junio de 2013 en Sesión de Comisión Extraordinaria número 6, esta Comisión de Regulación expidió la Resolución CRA 643 “Por la cual se presenta el proyecto de Resolución “Por la cual se establece el régimen de regulación tarifaria a los que deben someterse las personas prestadoras del servicio público de aseo en áreas urbanas que atiendan en municipios de más de 5.000 suscriptores, la metodología que deben utilizar para el cálculo de las tarifas del servicio público de aseo y se dictan otras disposiciones”, se da cumplimiento a lo previsto por el numeral 11.4 de artículo 11 del Decreto 2696 de 2004, y se continúa el proceso de discusión directa con los usuarios y agentes del sector”;
Que de conformidad con lo dispuesto en el artículo 2.3.6.3.3.11 del Decreto 1077 de 2015, para la expedición de una metodología de carácter general y tarifario, la CRA debe dar estricto cumplimiento al proceso de participación ciudadana previsto, para lo cual, debe realizar la publicación del respectivo proyecto regulatorio, por el término de tres (3) meses antes de la fecha prevista para la vigencia de las fórmulas tarifarias, con el fin de que el proyecto sea discutido, analizado, socializado por todos los interesados y que así puedan presentar observaciones o propuestas sobre su contenido;
Que en lo que respecta a la Resolución CRA 643 de 2013, la participación ciudadana inició a partir de la fecha de publicación en el Diario Oficial número 48.832, que correspondió al 25 de junio de 2013, por lo que en principio, finalizaba el día 24 de septiembre de 2013;
Que no obstante lo anterior, el Gobierno nacional y los Vocales de Control manifestaron la necesidad de ampliar el plazo de recibo de observaciones, reparos o sugerencias dada la importancia del proyecto regulatorio. Por su parte, la Procuraduría General de la Nación mediante Radicado CRA 2013-321-004602-2 de 24 de septiembre de 2013, en el marco de las mesas de trabajo en torno al proyecto de modificación del Decreto 1713 de 2002, solicitó la realización de una reunión, “… con el propósito de crear un espacio en que se armonice dicho proyecto con el borrador de la nueva metodología tarifaria en aseo que está estudiando la CRA…”;
Que por lo anterior, en Sesión de Comisión Ordinaria número 199 de 24 de septiembre de 2013, atendiendo las solicitudes mencionadas, se expidió la Resolución CRA 655 de 2013 “Por la cual se modifica el artículo segundo de la Resolución CRA 643 de 2013”, publicada en el Diario Oficial número 48.924, en la cual se decidió ampliar por un mes más el término de la participación ciudadana;
Que posteriormente, mediante comunicación con Radicado CRA 2013-321-005036-2 del 11 de octubre de 2013, el Viceministerio de Agua y Saneamiento Básico, remitió el Proyecto de Decreto “Por el cual se reglamentan las leyes 142 de 1994 y 689 de 2001 en relación con la prestación del servicio público de aseo y parcialmente el artículo 251 de la Ley 1450 de 2011”, solicitando su armonización con la propuesta regulatoria del nuevo Marco Regulatorio del Servicio Público de Aseo. Por su parte, la Asociación Nacional de Empresas de Servicios Públicos y Comunicaciones (Andesco) mediante Radicado CRA 2013-321-005135-2 de 18 de octubre de 2013, señaló: “Conforme a lo previsto en la Resolución 655/2013, por la cual se amplió el plazo de la participación ciudadana frente a la propuesta de marco tarifario de aseo, consideramos importante que la Comisión de Regulación en pleno evalúe la posibilidad de la ampliación del proceso de discusión y participación de la nueva propuesta tarifaria en un término de tres meses, contados a partir de la expedición de los diferentes elementos de la fórmula tarifaria que a la fecha no han sido conocidos por el sector empresarial y que de forma directa puede afectar la suficiencia financiera del sector.(…)”;
Que teniendo en cuenta lo anterior, en Sesión de Comisión Extraordinaria No. 9 de 25 de octubre de 2013, se expidió la Resolución CRA 658 “Por la cual se modifica el artículo 1o de la Resolución CRA número 655 de 2013” de 2013, publicada en el Diario Oficial 48.957, en la cual se amplió el término de participación ciudadana en dos (2) meses adicionales;
Que el 27 de diciembre de 2013 en Sesión de Comisión Extraordinaria número 10, se expidió la Resolución CRA 664 de 2013 “Por la cual se modifica el artículo segundo de la Resolución CRA 643 de 2013 y se presenta el proyecto de Resolución “Por la cual se adiciona el artículo primero de la Resolución CRA 643 de 2013 y se dictan otras disposiciones”, se da cumplimiento a lo previsto por el numeral 11.4 de artículo 11 del Decreto 2696 de 2004, y se continúa el proceso de discusión directa con los usuarios y agentes del sector”, publicada en el Diario Oficial número 49.026, con el objeto de presentar a participación ciudadana el proyecto que articula la regulación con el Decreto 2981 de 2013, compilado en el Decreto 1077 de 2015, mediante la inclusión de las actividades del servicio adicionadas por este y aspectos tales como el factor de productividad, la metodología para la estimación del consumo, ampliando la participación ciudadana de la Resolución CRA 643 de 2013, con el fin de que los diferentes agentes del sector, pudieran discutir en su integralidad el proyecto regulatorio propuesto;
Que así mismo, en complemento al proceso de participación ciudadana, esta Unidad Administrativa realizó nueve (9) jornadas de discusión directa en diferentes ciudades del país (Cali, Tunja, Ibagué, Bogotá, D. C., Medellín, Bucaramanga, Barranquilla Montería y Maicao) con el fin de discutir de manera presencial la propuesta regulatoria y recoger las observaciones presentadas por la ciudadanía y agentes del sector;
Que vencido el período de participación ciudadana el 7 de abril de 2014, esta Comisión de Regulación recibió 1.207 observaciones y sugerencias las cuales fueron analizadas individualmente de manera previa a la expedición del presente acto administrativo y, posteriormente respondidas en los términos establecidos para el efecto;
Que en Sesión Ordinaria número 210 de 3 de septiembre de 2014, los miembros de la Comisión, acordaron someter a participación ciudadana por el término de tres (3) meses adicionales, el proyecto de resolución que contiene las Resoluciones 643 y 664 de 2013, así como los ajustes producto del proceso anterior;
Que en sesión de Comisión Ordinaria número 216 de 4 de marzo de 2015, se aprobó la expedición del presente proyecto de Resolución “Por el cual se presenta el proyecto de Resolución “Por la cual se establece el régimen de regulación tarifaria a los que deben someterse las personas prestadoras del servicio público de aseo que atiendan en municipios de más de 5.000 suscriptores en áreas urbanas, la metodología que deben utilizar para el cálculo de las tarifas del servicio público de aseo y se dictan otras disposiciones”, con lo cual se da cumplimiento a lo previsto por el numeral 11.4 de artículo 11 del Decreto 2696 de 2004, y se da inicio a un nuevo proceso de discusión directa con los usuarios y agentes del sector”;
Que el 10 de junio de 2015 se cumplieron los 3 meses de que trata el artículo 2.3.6.3.3.11 del Decreto 1077 de 2015, plazo durante el cual se recibieron 1.121 observaciones, reparos y sugerencias respecto de la Resolución CRA 710 de 2015 publicada el 10 de marzo de 2015 en el Diario Oficial número 49.449, de las cuales 882 fueron escritas y 239 presenciales;
Que el total de observaciones escritas y presenciales recibidas y clasificadas en ejes temáticos, se consideraron, se analizaron y la Comisión determinó su procedencia en la presente resolución.
Que el artículo 7o de la Ley 1340 de 2009 establece que: “Además de las disposiciones consagradas en el artículo 2o del Decreto 2153 de 1992, la Superintendencia de Industria y Comercio podrá rendir concepto previo sobre los proyectos de regulación estatal que puedan tener incidencia sobre la libre competencia en los mercados. Para estos efectos las autoridades de regulación informarán a la Superintendencia de Industria y Comercio de los actos administrativos que se pretendan expedir. El concepto emitido por la Superintendencia de Industria y Comercio en este sentido no será vinculante. Sin embargo, si la autoridad respectiva se apartara de dicho concepto, la misma deberá manifestar de manera expresa dentro de las consideraciones de la decisión los motivos por los cuales se aparta”;
Que de conformidad con el artículo 6o del Decreto 2897 de 2010, la Comisión diligenció el cuestionario contemplado en el artículo 1o de la Resolución 44649 de 2010 de la Superintendencia de Industria y Comercio, y en atención a que la respuesta a todas las preguntas contenidas en el mismo resultó negativa, se consideró que el proyecto no planteaba una restricción indebida a la libre competencia, y en consecuencia, encontró que no se requería remitirlo a la Superintendencia de Industria y Comercio;
Que a pesar de considerar que el proyecto no plantea una restricción indebida a la libre competencia, mediante Radicado CRA 2015-211-002749-1 de 19 de junio de 2015, se envió a la Superintendencia de Industria y Comercio el proyecto de resolución, junto con la matriz en formato Excel con las observaciones, reparos y sugerencias recibidas en el proceso de participación ciudadana y el cuestionario diligenciado de que trata el artículo 1o de la Resolución 44649 de 2010.
Que en mérito de lo expuesto, la Comisión de Regulación de Agua Potable y Saneamiento Básico,
RESUELVE
ASPECTOS GENERALES.
ARTÍCULO 1. ÁMBITO DE APLICACIÓN. <Artículo integrado y unificado en el artículo 5.3.2.1.1 de la Resolución CRA 943 de 2021. Debe tenerse en cuenta lo dispuesto por el artículo 2.3.6.3.3.12 del Decreto 1077 de 2015> La presente resolución establece el régimen tarifario y la metodología tarifaria aplicable a las personas prestadoras del servicio público de aseo que atiendan municipios y/o distritos con más de 5.000 suscriptores en el área urbana y de expansión urbana, y todas las personas prestadoras de las actividades de disposición final, transferencia y aprovechamiento que se encuentren en el área rural, salvo las excepciones contenidas en la ley, especialmente las señaladas en el parágrafo 1o del artículo 87 de la Ley 142 de 1994.
En todo caso, cuando en los contratos suscritos por las personas prestadoras del servicio público de aseo con más de 5.000 suscriptores en el área urbana, se pacte la sujeción del mismo a la metodología tarifaria que expida la Comisión de Regulación de Agua Potable y Saneamiento Básico – CRA, se dará aplicación a la presente resolución.
PARÁGRAFO 1. En caso de que existan áreas de prestación del servicio que incorporen zonas rurales, la persona prestadora del servicio público de aseo podrá aplicar las disposiciones contenidas en la presente resolución en las mencionadas zonas.
PARÁGRAFO 2. La persona prestadora que cuenta con APS en diferentes municipios y/o distritos, tendrá que aplicar la metodología establecida en la presente resolución en aquellas áreas ubicadas en municipios y/o distritos con un número de suscriptores mayor a 5.000. En las APS de los demás municipios y/o distritos, continuará cobrando las tarifas derivadas de la aplicación de las Resoluciones CRA 351 y 352 de 2005.
ARTÍCULO 2. RÉGIMEN DE REGULACIÓN TARIFARIA. <Artículo integrado y unificado en el artículo 5.3.2.1.2 de la Resolución CRA 943 de 2021. Debe tenerse en cuenta lo dispuesto por el artículo 2.3.6.3.3.12 del Decreto 1077 de 2015> El régimen de regulación tarifaria para las personas prestadoras incluidas en el ámbito de aplicación de la presente resolución será el de libertad regulada.
ARTÍCULO 3. METODOLOGÍA TARIFARIA. <Artículo integrado y unificado en el artículo 5.3.2.1.3 de la Resolución CRA 943 de 2021. Debe tenerse en cuenta lo dispuesto por el artículo 2.3.6.3.3.12 del Decreto 1077 de 2015> La metodología tarifaria que se adopta mediante la presente resolución es de precio techo, lo cual implica que las personas prestadoras del servicio público de aseo podrán, en cualquier momento, y con observancia de las disposiciones relativas a la competencia, a la información y a los suscriptores, cobrar hasta el límite que constituye su precio máximo calculado con base en lo aquí establecido, siempre que éste sea el adoptado por la Entidad Tarifaria Local.
ARTÍCULO 4. DEFINICIONES. <Artículo integrado y unificado en el artículo 5.3.2.1.4 de la Resolución CRA 943 de 2021. Debe tenerse en cuenta lo dispuesto por el artículo 2.3.6.3.3.12 del Decreto 1077 de 2015> Para la aplicación de la presente resolución se tendrán en cuenta las siguientes definiciones, además de las consignadas en la normatividad vigente:
Área de Prestación del Servicio – APS: Área geográfica del municipio y/o distrito en la cual la persona prestadora de la actividad de recolección y transporte de residuos no aprovechables presta el servicio.
Centroide: Punto identificado con coordenadas que representa el sitio donde se concentra la producción de residuos del APS, desde el cual se estima la distancia al sitio de disposición final.
Estándares del servicio: Requisitos mínimos que deben cumplir las personas prestadoras en relación con los indicadores de servicio establecidos por la Comisión de Regulación de Agua Potable y Saneamiento Básico CRA.
Fórmula tarifaria general para el servicio público de aseo: Expresión que permite a las personas prestadoras del servicio público de aseo calcular los costos económicos de la prestación del servicio.
Indicador de calidad de la frecuencia de recolección de residuos sólidos: Indicador para determinar el cumplimiento de la frecuencia de recolección de residuos sólidos para la ruta de recolección analizada.
Indicador de calidad del horario de recolección de residuos sólidos: Indicador para determinar el cumplimiento del horario de recolección de residuos sólidos para la ruta de recolección analizada.
Indicador de reclamos comerciales por facturación: Indicador para determinar el cumplimiento de la persona prestadora frente a la meta de reclamos comerciales por facturación establecida para el período analizado.
Indicador de incumplimiento en la compactación del relleno sanitario. Indicador que permite medir el incumplimiento en la compactación del relleno sanitario, definida en el diseño.
Longitud de barrido: Suma de kilómetros de barrido y limpieza de vías y áreas públicas.
Persona prestadora de las actividades del servicio público de aseo: personas organizadas de conformidad con el artículo 15 de la Ley 142 de 1994.
Promedio para los cálculos: Cuando en la presente resolución se determine que los cálculos se realicen con el promedio de: kilómetros de barrido y limpieza, toneladas de residuos, metros cúbicos de lixiviados y número de suscriptores, se tomará el promedio mensual del semestre inmediatamente anterior, así: i) Para los períodos de facturación entre enero y junio, con base en el promedio mensual de: kilómetros, residuos, caudal de lixiviados y número de suscriptores, de julio a diciembre del año inmediatamente anterior y ii) Para los períodos de facturación de julio a diciembre con base en el promedio mensual de: kilómetros, residuos, caudal de lixiviados y número de suscriptores, de enero a junio del año en cuestión, en toneladas/mes, m3/mes y suscriptores/mes, respectivamente.
Rechazos: Material producto de la selección de residuos aprovechables en la Estación de Clasificación y Aprovechamiento, cuyas características no permiten su comercialización o transformación, y que deben ser dispuestos en el relleno sanitario.
Recolección mecanizada: Sistema de recolección de residuos sólidos mediante el uso de contenedores de almacenamiento que son levantados y evacuados mecánicamente.
Residuo sólido no aprovechable: Material o sustancia sólida de origen orgánico e inorgánico, putrescible o no, proveniente de actividades domésticas, industriales, comerciales, institucionales, de servicios, que no son objeto de la actividad de aprovechamiento.
ARTÍCULO 5. SEGMENTACIÓN. <Artículo integrado y unificado en el artículo 5.3.2.1.5 de la Resolución CRA 943 de 2021. Debe tenerse en cuenta lo dispuesto por el artículo 2.3.6.3.3.12 del Decreto 1077 de 2015> Para efectos de la aplicación de lo establecido en la presente resolución, se tendrán en cuenta los siguientes segmentos:
Primer segmento: Corresponde a las personas prestadoras que atiendan municipios y/o distritos de más de 100.000 suscriptores. Además, aquellos que atiendan los suscriptores de las ciudades señaladas en la Tabla 1 del ANEXO I de la presente resolución.
Segundo segmento: Corresponde a las personas prestadoras que atiendan en municipios y/o distritos con un número de suscriptores superior a 5.000 y hasta 100.000 con excepción de las ciudades capitales incluidas en el primer segmento, de acuerdo con lo establecido en la Tabla 2 del ANEXO I de la presente resolución.
ARTÍCULO 6. ÁREA DE PRESTACIÓN DEL SERVICIO - APS. <Artículo integrado y unificado en el artículo 5.3.2.1.6 de la Resolución CRA 943 de 2021. Debe tenerse en cuenta lo dispuesto por el artículo 2.3.6.3.3.12 del Decreto 1077 de 2015> El área de prestación del servicio deberá ser reportada al municipio y/o distrito y consignarse en el contrato de condiciones uniformes. En el evento en que la persona prestadora de la actividad de recolección y trasporte de residuos sólidos no aprovechables tenga más de un área de prestación del servicio en un mismo municipio y/o distrito, en el contrato de condiciones uniformes (CCU) sólo deberá constar aquella en la que se encuentra ubicado el suscriptor correspondiente.
PARÁGRAFO. En virtud del artículo 5 de la Ley 142 de 1994, es responsabilidad del municipio y/o distrito garantizar la prestación del servicio público de aseo en todo el municipio y/o distrito, incluidas aquellas áreas que no sean reportadas como áreas de prestación del servicio por alguna persona prestadora.
ARTÍCULO 7. GESTIÓN DEL RIESGO. <Artículo integrado y unificado en el artículo 5.3.2.1.7 de la Resolución CRA 943 de 2021. Debe tenerse en cuenta lo dispuesto por el artículo 2.3.6.3.3.12 del Decreto 1077 de 2015> Para la prestación del servicio público de aseo se deberán incluir las consideraciones asociadas a la gestión del riesgo. Para lo anterior, las personas prestadoras deberán formular sus planes de gestión del riesgo de desastres de acuerdo con la normatividad vigente y lo que para el efecto establezca el Ministerio de Vivienda, Ciudad y Territorio.
ARTÍCULO 8. ESTÁNDARES DEL SERVICIO A ALCANZAR EN EL PERÍODO TARIFARIO. <Artículo integrado y unificado en el artículo 5.3.2.1.8 de la Resolución CRA 943 de 2021. Debe tenerse en cuenta lo dispuesto por el artículo 2.3.6.3.3.12 del Decreto 1077 de 2015> Las personas prestadoras deberán cumplir con los estándares de calidad técnica del servicio en su APS desde la entrada en vigencia de la presente resolución. Para el estándar de calidad comercial la persona prestadora definirá la meta anual hasta cumplir con lo establecido en el ANEXO III, a los cinco años desde la aplicación de la presente resolución.
ARTÍCULO 9. CÁLCULO DEL CENTROIDE. <Artículo integrado y unificado en el artículo 5.3.2.1.9 de la Resolución CRA 943 de 2021. Debe tenerse en cuenta lo dispuesto por el artículo 2.3.6.3.3.12 del Decreto 1077 de 2015> Para el cálculo del centroide, deberá dividirse el plano del APS que contenga la producción de residuos, en áreas de tamaño homogéneo como máximo de un (1) km2. Para cada una de estas áreas, se establecerá un centroide particular, determinado como el centro de la figura geométrica (baricentro) que constituye el área de tamaño homogéneo. Cada uno de estos puntos se ubicarán en un plano y se establecerá un promedio de los ejes de las abscisas primero, y de las ordenadas después, ponderando cada punto por el número de suscriptores o por la producción de residuos en cada área homogénea. El punto de cruce entre el promedio ponderado por el número de suscriptores o la producción de residuos de las abscisas y las ordenadas se determinará como el centroide del APS.
La ubicación del centroide y la distancia con respecto al sitio o sitios de disposición final, para cada una de las APS, deberá ser reportado por la persona prestadora al momento de aplicación de la presente resolución a través del Sistema Único de Información (SUI). De presentarse una modificación en dicho centroide igualmente deberá reportarse a dicho Sistema.
Alternativamente al cálculo del centroide, cada persona prestadora, para efectos de lo establecido en la presente resolución, podrá calcular la distancia a los sitios de disposición final como la diferencia en kilómetros entre el límite del APS más cercano a cada sitio de disposición final y este último. En todo caso deberá informar la alternativa para el cálculo del centroide, su ubicación, y la distancia al sitio de disposición final al Sistema Único de Información (SUI).
PARÁGRAFO. Las personas prestadoras remitirán al SUI, la distancia en kilómetros desde el centroide al sitio de disposición final, así como los estudios, planos y elementos técnicos que le permitan a la Superintendencia de Servicios Públicos Domiciliarios verificar su cálculo.
DEL CALCULO DEL PRECIO MAXIMO Y LOS COSTOS QUE LO COMPONEN.
DEL CÁLCULO DEL PRECIO MAXIMO.
ARTÍCULO 10. CÁLCULO DEL PRECIO MÁXIMO POR APS. <Artículo integrado y unificado en el artículo 5.3.2.2.1.1 de la Resolución CRA 943 de 2021. Debe tenerse en cuenta lo dispuesto por el artículo 2.3.6.3.3.12 del Decreto 1077 de 2015> Se deberá calcular el precio máximo por APS, el cual está conformado por un costo fijo por suscriptor y un costo variable por tonelada de residuos no aprovechables y la remuneración por tonelada de residuos aprovechados.
PARÁGRAFO. Todos los reportes de información de la persona prestadora al SUI, deberán hacerse por APS, por municipio y por actividad.
ARTÍCULO 11. COSTO FIJO TOTAL (CFT). <Artículo integrado y unificado en el artículo 5.3.2.2.1.2 de la Resolución CRA 943 de 2021. Debe tenerse en cuenta lo dispuesto por el artículo 2.3.6.3.3.12 del Decreto 1077 de 2015> El costo fijo total por suscriptor del APS se define de la siguiente manera:
CFT=(CCS+CLUS+CBLS)
Donde:
| CFT: | Costo Fijo Total por suscriptor, en cada una de las APS en el municipio y/o distrito (pesos de diciembre de 2014/suscriptor-mes). |
| CCS: | Costo de Comercialización por suscriptor del servicio público de aseo, definido en el artículo 14 de la presente resolución (pesos de diciembre de 2014/suscriptor-mes). |
| CLUS: | Costo de Limpieza Urbana por suscriptor, definido en el artículo 15 de la presente resolución (pesos de diciembre de 2014/suscriptor-mes). |
| CBLS: | Costo de Barrido y Limpieza por suscriptor, definido en el artículo 21 de la presente resolución (pesos de diciembre de 2014/suscriptor-mes). |
ARTÍCULO 12. COSTO VARIABLE POR TONELADA DE RESIDUOS NO APROVECHABLES. <Artículo integrado y unificado en el artículo 5.3.2.2.1.3 de la Resolución CRA 943 de 2021. Debe tenerse en cuenta lo dispuesto por el artículo 2.3.6.3.3.12 del Decreto 1077 de 2015> El Costo Variable por tonelada de residuos sólidos no aprovechables se define de la siguiente manera:
CVNA=(CRT+CDF+CTL)
Donde:
| CVNA: | Costo Variable por tonelada de residuos sólidos no aprovechables (pesos de diciembre de 2014/tonelada). |
| CRT: | Costo de Recolección y Transporte de Residuos Sólidos definido en el artículo 24 de la presente resolución (pesos de diciembre de 2014/tonelada). |
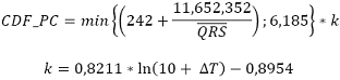
| CDF: | Costo de Disposición Final por tonelada definido en el artículo 28 de la presente resolución (pesos diciembre de 2014/tonelada). |
| CTL: | Costo de Tratamiento de Lixiviados por tonelada definido en el artículo 32 de la presente resolución (pesos de diciembre de 2014/tonelada). |
ARTÍCULO 13. INCLUSIÓN DE INCENTIVOS ECONÓMICOS. <Artículo integrado y unificado en el artículo 5.3.2.2.1.4 de la Resolución CRA 943 de 2021. Debe tenerse en cuenta lo dispuesto por el artículo 2.3.6.3.3.12 del Decreto 1077 de 2015> Los costos generados por los incentivos económicos creados con ocasión de desarrollos normativos del orden nacional, se incluirán como un valor en las unidades que correspondan al costo afectado. Tal situación se informará por parte de la persona prestadora de la actividad cuyo costo es afectado, a la Superintendencia de Servicios Públicos Domiciliarios y a los usuarios.
DE LOS COSTOS DE COMERCIALIZACION.
ARTÍCULO 14. COSTO DE COMERCIALIZACIÓN POR SUSCRIPTOR DEL SERVICIO PÚBLICO DE ASEO (CCS). <Artículo integrado y unificado en el artículo 5.3.2.2.2.1 de la Resolución CRA 943 de 2021. Debe tenerse en cuenta lo dispuesto por el artículo 2.3.6.3.3.12 del Decreto 1077 de 2015> El Costo de Comercialización por suscriptor del servicio público de aseo, diferenciado cuando la facturación conjunta se realice con el servicio de acueducto o de energía, según la segmentación definida en el artículo 5 de la presente resolución, será como máximo el valor que se establece en la siguiente tabla (a precios de diciembre de 2014/mes).
Cuando la persona prestadora del servicio público de aseo realice la facturación conjunta con el servicio de acueducto, el precio máximo por suscriptor será:
| Segmento | CCS |
| 1 | $1.223,39 |
| 2 | $1.368,85 |
Cuando la persona prestadora del servicio público de aseo realice la facturación conjunta con el servicio de energía, el precio máximo por suscriptor será:
| Segmento | CCS |
| 1 | $1.829,86 |
| 2 | $1.975,31 |
PARÁGRAFO. Cuando en el municipio y/o distrito se preste la actividad de aprovechamiento, el CCS se deberá incrementar en un 30% del precio techo. La administración de estos recursos se sujetará a la reglamentación del parágrafo 2 del artículo 88 de la Ley 1753 de 2015.
DE LOS COSTOS DE LIMPIEZA URBANA.
ARTÍCULO 15. COSTO DE LIMPIEZA URBANA POR SUSCRIPTOR (CLUS). <Artículo integrado y unificado en el artículo 5.3.2.2.3.1 de la Resolución CRA 943 de 2021. Debe tenerse en cuenta lo dispuesto por el artículo 2.3.6.3.3.12 del Decreto 1077 de 2015> <Ver modificaciones temporales en Notas de Vigencia> <Artículo corregido por el artículo 1 de la Resolución 807 de 2017. El nuevo texto es el siguiente:> El Costo de Limpieza Urbana corresponde a la suma del costo mensual de poda de árboles, de corte de césped, de lavado de áreas públicas, limpieza de playas y de instalación de cestas dentro del perímetro urbano, de acuerdo con la siguiente ecuación:
![]()
Donde:
| CLUS: | Costo de Limpieza Urbana por suscriptor (pesos de diciembre de 2014/ suscriptor-mes). |
| CPj: | Costo de Poda de Árboles definido en el artículo 16 de la presente resolución, de la persona prestadora j (pesos diciembre de 2014). |
| CCCj: | Costo de Corte de Césped definido en el artículo 17 de la presente resolución, de la persona prestadora j (pesos diciembre de 2014/m2). |
| Metros cuadrados totales de césped cortados por la persona prestadora j, en el período de facturación. | |
| CLAVj: | Costo de Lavado de Áreas Públicas definido en el artículo 18 de la presente resolución, de la persona prestadora j (pesos diciembre de 2014/m2). |
| Metros cuadrados totales de áreas públicas lavadas por la persona prestadora j, en el período de facturación. | |
| CLPj: | Costo de Limpieza de Playas costeras o ribereñas definido en el artículo 19 de la presente resolución, de la persona prestadora j (pesos de diciembre de 2014/km). |
| kLPj: | Kilómetros totales de playas costeras limpiados por la persona prestadora j, en el período de facturación. |
| CCEIj: | Costo de suministro e instalación de Cestas en vías y áreas públicas definido en el artículo 20 de la presente resolución, de la persona prestadora j (pesos de diciembre de 2014). |
| CCEMj: | Costo de mantenimiento de las cestas previamente instaladas por la persona prestadora j en su APS definido en el artículo 20. |
| TIj: | Número de cestas que hayan sido instaladas por la persona prestadora j en el APS y aprobadas por el municipio y/o distrito. |
| TMj: | Número de cestas objeto de mantenimiento por la persona prestadora j en la APS y que hayan sido mantenidas por la persona prestadora j. |
| N: | Promedio de los últimos seis (6) meses del número de suscriptores totales en el municipio y/o distrito, de acuerdo con lo establecido en el artículo 4o de la presente resolución. |
| j: | Número de personas prestadoras de CLUS en un mismo perímetro urbano donde j = {1,2,3,4,...,m}. |
PARÁGRAFO 1o. Los árboles a intervenir (unidades), las áreas verdes objeto de corte (m2), las áreas públicas objeto de lavado (m2), las playas objeto de limpieza (km) y las cestas a instalar (unidades), corresponderán a las definidas en el Programa para la Prestación del Servicio de Aseo, con base en lo establecido en el Plan de Gestión Integral de Residuos Sólidos (PGIRS).
PARÁGRAFO 2o. El costo de limpieza de playas costeras o ribereñas sólo aplica para los municipios y/o distritos que cuenten con playas en su área urbana y que la longitud o áreas a intervenir (km y/o m2) hayan sido incluidos por el municipio o distrito en el respectivo PGIRS, así como en el Programa de Prestación del Servicio de la persona prestadora. En caso de no incluir playas, dichos conceptos serán igual a cero.
PARÁGRAFO 3o. Las labores de limpieza urbana son responsabilidad de los prestadores del servicio público de aseo de no aprovechables en el APS donde realicen las actividades de recolección y transporte.
ARTÍCULO 16. COSTO DE PODA DE ÁRBOLES (CP). <Artículo integrado y unificado en el artículo 5.3.2.2.3.2 de la Resolución CRA 943 de 2021. Debe tenerse en cuenta lo dispuesto por el artículo 2.3.6.3.3.12 del Decreto 1077 de 2015> El Costo máximo de Poda de Árboles se determinará de acuerdo con la siguiente ecuación y será al precio techo de cada prestador en su APS; el cual deberá reportar a la Comisión de Regulación de Agua Potable y Saneamiento Básico y a la Superintendencia de Servicios Públicos Domiciliarios.

Las personas prestadoras que inicien actividades con posterioridad a la entrada en vigencia de la fórmula tarifaria, podrán utilizar periodos inferiores hasta acumular seis (6) meses.
PARÁGRAFO 1. La persona prestadora reportará los soportes de la estimación de dicho promedio a la Comisión de Regulación de Agua Potable y Saneamiento Básico y a la Superintendencia de Servicios Públicos Domiciliarios.
PARÁGRAFO 2. Las frecuencias de poda de árboles deberán ser consignadas por la persona prestadora en el Programa para la Prestación del Servicio de Aseo de acuerdo con el PGIRS y según lo previsto en el Decreto 1077 de 2015 o aquel que lo modifique, adicione o sustituya.
PARÁGRAFO 3. Los residuos resultantes de la actividad de poda de árboles deben ser dispuestos de acuerdo con lo establecido en el Plan de Gestión Integral de Residuos Sólidos (PGIRS) y en el Decreto 1077 de 2015 o aquel que lo modifique, adicione o sustituya.
PARÁGRAFO 4. La persona prestadora reportará al SUI el inventario de árboles en su APS, acorde con el Programa de Prestación del servicio y el PGIRS. El inventario de árboles será realizado por el municipio y/o distrito y reportado en el PGIRS.
PARÁGRAFO 5. La Comisión de Regulación de Agua y Saneamiento Básico podrá revisar el costo y determinar un valor máximo si a ello hubiere lugar, de conformidad con lo establecido en el artículo 126 de la Ley 142 de 1994.
ARTÍCULO 17. COSTO DE CORTE DE CÉSPED (CCC). <Artículo integrado y unificado en el artículo 5.3.2.2.3.3 de la Resolución CRA 943 de 2021. Debe tenerse en cuenta lo dispuesto por el artículo 2.3.6.3.3.12 del Decreto 1077 de 2015> El Costo de Corte de Césped de zonas verdes pertenecientes a áreas públicas será, como máximo el valor que se establece en la siguiente tabla (pesos de diciembre de 2014/m2 intervenido).
| Segmento | CCC |
| 1 | $57 |
| 2 | $86 |
ARTÍCULO 18. COSTO DE LAVADO DE ÁREAS PÚBLICAS (CLAV). <Artículo integrado y unificado en el artículo 5.3.2.2.3.4 de la Resolución CRA 943 de 2021. Debe tenerse en cuenta lo dispuesto por el artículo 2.3.6.3.3.12 del Decreto 1077 de 2015> <Ver modificaciones temporales en Notas de Vigencia> El Costo máximo de Lavado de Áreas Públicas será determinado por la siguiente ecuación:
![]()
Donde:
| CLAV: | Costo mensual de Lavado de áreas públicas (pesos de diciembre de 2014/m2). |
| $ magua3: | Valor del metro cúbico facturado por la persona prestadora de acueducto. |
PARÁGRAFO 1. Las labores de lavado de áreas públicas son responsabilidad de los prestadores del servicio público de aseo de no aprovechables en el APS donde realicen las actividades de recolección y transporte.
PARÁGRAFO 2. Se permitirá el reúso de agua en esta actividad siempre y cuando las condiciones de la misma sean aptas para el lavado de áreas públicas.
ARTÍCULO 19. COSTO DE LIMPIEZA DE PLAYAS COSTERAS O RIBEREÑAS (CLP). <Artículo integrado y unificado en el artículo 5.3.2.2.3.5 de la Resolución CRA 943 de 2021. Debe tenerse en cuenta lo dispuesto por el artículo 2.3.6.3.3.12 del Decreto 1077 de 2015> El Costo de Limpieza de Playas costeras o ribereñas en áreas urbanas será, como máximo, de $10.789 (pesos de diciembre de 2014 /km).
PARÁGRAFO. Las áreas públicas de playas determinadas por el PGIRS y el Programa de Prestación del Servicio, deberán ser convertidas a unidades de longitud (km), multiplicando el área (m2) total a limpiar por el factor 0,0007 km/m2.
ARTÍCULO 20. SUMINISTRO, INSTALACIÓN Y MANTENIMIENTO DE CESTAS EN VÍAS Y ÁREAS PÚBLICAS (CCEI Y CCEM). <Artículo integrado y unificado en el artículo 5.3.2.2.3.6 de la Resolución CRA 943 de 2021. Debe tenerse en cuenta lo dispuesto por el artículo 2.3.6.3.3.12 del Decreto 1077 de 2015> El costo máximo a reconocer por cada cesta instalada (CCEI) será de $6.276 (pesos de diciembre 2014/cesta-mes).
PARÁGRAFO 1. Por mantenimiento de cestas previamente instaladas por la persona prestadora en su APS, se reconocerá el mantenimiento de cada cesta (CCEM) y el costo máximo será de $571 (pesos de diciembre 2014/cesta-mes).
PARÁGRAFO 2. En caso de robo o daño ocasionado por terceros no determinados, la reposición estará a cargo del municipio y/o distrito. Cuando, antes de la terminación de su vida útil, se requiera reposición de las cestas suministradas e instaladas por la persona prestadora, será éste el responsable de su reposición sin cargo a la tarifa.
DE LOS COSTOS DE BARRIDO Y LIMPIEZA DE VIAS Y AREAS PUBLICAS.
ARTÍCULO 21. COSTO DE BARRIDO Y LIMPIEZA DE VÍAS Y ÁREAS PÚBLICAS POR SUSCRIPTOR (CBLS). <Artículo integrado y unificado en el artículo 5.3.2.2.4.1 de la Resolución CRA 943 de 2021. Debe tenerse en cuenta lo dispuesto por el artículo 2.3.6.3.3.12 del Decreto 1077 de 2015> <Ver modificaciones temporales en Notas de Vigencia> El Costo de Barrido y Limpieza de Vías y Áreas Públicas mensual dentro del perímetro urbano por suscriptor será:
![]()
Donde:
| CBLS: | Costo de Barrido y Limpieza de Vías y Áreas Públicas por suscriptor (pesos de diciembre de 2014/suscriptor-mes). |
| CBLj: | Costo de Barrido y Limpieza de Vías y Áreas Públicas, que será como máximo de $28.985 por la longitud de vías y áreas barridas de la persona prestadora j (pesos de diciembre de 2014/kilómetro). |
| LBLj: | Longitud de vías y áreas barridas por la persona prestadora j, en su APS, según las frecuencias definidas para el municipio y/o distrito en el PGIRS y el Programa para la Prestación del servicio y corresponde al promedio de los últimos seis (6) meses (kilómetros/mes), de acuerdo con lo establecido en el artículo 4 de la presente resolución. |
| N: | Promedio de los últimos seis (6) meses del número de suscriptores totales en el municipio y/o distrito, de acuerdo con lo establecido en el artículo 4 de la presente resolución. |
| j: | Número de personas prestadoras de la actividad de barrido y limpieza en un mismo perímetro urbano donde j= {1,2,3,4,...,m}. |
PARÁGRAFO 1. La longitud de vías y áreas barridas por la persona prestadora j debe corresponder a los definidos en el Programa para la Prestación del Servicio de aseo, con base en lo establecido en el Plan de Gestión Integral de Residuos Sólidos (PGIRS).
PARÁGRAFO 2. Las áreas públicas a barrer deberán ser convertidas a kilómetros lineales, multiplicando el área (m2) total a barrer por 0,002 km/m2.
PARÁGRAFO 3. El aumento de frecuencias de barrido deberá ser solicitado al prestador por parte del municipio y/o distrito, siempre y cuando haya modificado el PGIRS, de acuerdo con lo establecido en el Decreto 1077 de 2015 o aquel que lo modifique, adicione o sustituya.
PARÁGRAFO 4. Costo de Barrido y Limpieza de Vías y Áreas Públicas por suscriptor con Aporte Bajo Condición (CBLABC). Cuando el valor total de los equipos y/o activos asociados a esta actividad es aportado por una entidad pública, la proporción de costo de capital en que se reduciría el costo por kilómetro barrido para el CBL es del 32%.
ARTÍCULO 22. FRECUENCIAS DE BARRIDO Y LIMPIEZA DE VÍAS Y ÁREAS PÚBLICAS. <Artículo integrado y unificado en el artículo 5.3.2.2.4.2 de la Resolución CRA 943 de 2021. Debe tenerse en cuenta lo dispuesto por el artículo 2.3.6.3.3.12 del Decreto 1077 de 2015> <Ver modificaciones temporales en Notas de Vigencia> Las frecuencias de barrido serán como mínimo las que establece el artículo 2.3.2.2.2.4.53 del Decreto 1077 de 2015 o aquel que lo modifique, adicione o sustituya.
ARTÍCULO 23. RESPONSABILIDAD DE LA PRESTACIÓN DEL BARRIDO Y LIMPIEZA DE ÁREAS PÚBLICAS. <Artículo integrado y unificado en el artículo 5.3.2.2.4.3 de la Resolución CRA 943 de 2021. Debe tenerse en cuenta lo dispuesto por el artículo 2.3.6.3.3.12 del Decreto 1077 de 2015> <Ver modificaciones temporales en Notas de Vigencia> Las labores de barrido y limpieza de vías y áreas públicas son responsabilidad de la persona prestadora del servicio público de aseo en el APS donde realice las actividades de recolección y transporte de residuos no aprovechables. Dicha obligación quedará consignada en el respectivo contrato de condiciones uniformes.
PARÁGRAFO. Cuando en un municipio y/o distrito exista más de una persona prestadora, éstas deberán celebrar acuerdos de barrido conforme a la regulación establecida en la Resolución CRA 709 de 2015 con base en el artículo 2.3.2.2.2.4.52 del Decreto 1077 de 2015 o aquel que lo modifique, adicione o sustituya. Lo anterior, sin perjuicio de lo dispuesto en el artículo 2.3.2.2.2.4.51 del mismo decreto respecto de la responsabilidad de la persona prestadora de recolección y transporte en el barrido y limpieza de vías y áreas públicas.
DE LOS COSTOS DE RECOLECCION Y TRANSPORTE.
ARTÍCULO 24. COSTO DE RECOLECCIÓN Y TRANSPORTE DE RESIDUOS SÓLIDOS (CRT). <Artículo integrado y unificado en el artículo 5.3.2.2.5.1 de la Resolución CRA 943 de 2021. Debe tenerse en cuenta lo dispuesto por el artículo 2.3.6.3.3.12 del Decreto 1077 de 2015> El Costo de Recolección y Transporte de residuos sólidos no aprovechables en el APS será calculado de acuerdo con la siguiente ecuación:
![]()
Donde:
| CRTz: | Costo de Recolección y Transporte de Residuos Sólidos no aprovechables (pesos de diciembre de 2014/tonelada). |
| f1: | Función que remunera el Costo de Recolección y Transporte de residuos sólidos en compactador hasta la entrada del sitio de disposición final dada por: |
![]()
| f2: | Función que remunera el Costo de Recolección y Transporte residuos sólidos en compactador hasta una estación de transferencia y a granel desde ésta hasta la entrada del sitio de disposición final dada por: |
![]()
| D: | Distancia desde el centroide hasta el sitio de disposición final (km). Cada kilómetro de vía despavimentada equivaldrá a 1,25 kilómetros de vía pavimentada. |
| Promedio de toneladas recolectadas y transportadas en el APS del servicio z de la persona prestadora j del semestre que corresponda (toneladas/mes), de acuerdo con lo definido en el artículo 4. | |
| PRTz: | Suma de los peajes por mes que paga el vehículo en su recorrido de ida y vuelta por APS. (pesos/tonelada-mes), de acuerdo con lo definido en el artículo 25 de la presente resolución |
PARÁGRAFO 1. Aquellas personas prestadoras que atiendan en municipios y/o distritos que se presentan en la Tabla 3 del ANEXO I de la presente resolución, podrán incrementar el CRTz en 1,97%, para tener en cuenta el efecto de la salinidad.
PARÁGRAFO 2. El número de frecuencias para esta actividad corresponderá a aquel que optimice el Costo de Recolección y Transporte de la persona prestadora, en relación con la cantidad de residuos generados en el APS de servicio, sin que en ningún caso pueda ser inferior a dos (2) frecuencias semanales.
PARÁGRAFO 3. Para el cálculo del
las personas prestadoras que inicien actividades con posterioridad a la entrada en vigencia de la fórmula tarifaria, podrán utilizar períodos inferiores hasta acumular seis (6) meses.
PARÁGRAFO 4. La distancia tomada para el cálculo de las funciones de recolección y transporte debe ser presentada en un mapa georreferenciado, en el sistema de referencia MAGNA-SIRGAS y reportado al SUI en los términos que defina la Superintendencia de Servicios Públicos Domiciliarios.
PARÁGRAFO 5. En aquellos eventos en los que se deban incorporar incentivos a los municipios y/o distritos donde se ubiquen estaciones de transferencia regionales establecidos y reglamentados por el Gobierno Nacional, su valor se sumará al Costo de Recolección y Transporte de residuos sólidos definido en el presente artículo. Tal situación se informará a la Superintendencia de Servicios Públicos Domiciliarios y a la Comisión de Regulación de Agua Potable y Saneamiento Básico.
PARÁGRAFO 6. COSTO DE ESTACIÓN DE TRANSFERENCIA Y TRANSPORTE A GRANEL (CEG). En los casos en que existan prestadores que utilicen una misma estación de transferencia y para los que f2 resulte ser la función de mínimo costo de CRT, el costo que corresponde a la actividad de transferencia y transporte a granel hasta el sitio de disposición final se calcula de acuerdo con la siguiente fórmula:
![]()
Donde:
| Distancia desde la estación de transferencia al sitio de disposición final (km). Cada kilómetro de vía despavimentada equivaldrá a 1,25 kilómetros de vía pavimentada. | |
| Toneladas por mes recibidas en la estación de transferencia, calculadas como el promedio de los últimos seis (6) meses (toneladas/mes), de acuerdo con lo definido en el artículo 4. | |
| PRTg: | Suma de los peajes por mes que paga el vehículo de transporte a granel en su recorrido de ida y vuelta (pesos/tonelada-mes), de acuerdo con lo definido en el artículo 25 de la presente resolución. |
PARÁGRAFO 7. Si la persona prestadora cuenta con más de un APS en el mismo municipio y/o distrito, con diferente CRT, deberá calcular un Costo de Recolección y Transporte de residuos sólidos promedio, de acuerdo con la siguiente fórmula:
![]()
Donde:
| CRT: | Costo promedio de Recolección y Transporte de Residuos Sólidos de las APS de la persona prestadora j en un mismo municipio y/o distrito (pesos de diciembre de 2014/tonelada). |
| CRTz: | Costo de Recolección y Transporte de Residuos Sólidos en el APS z (pesos de diciembre de 2014/tonelada). |
| Promedio de toneladas recolectadas y transportadas en el APS del servicio z de la persona prestadora j del semestre que corresponda (toneladas/mes), de acuerdo con lo definido en el artículo 4. | |
| z: | Número de APS de servicio de la persona prestadora j, donde z={1,2,3,4,...,n}. |
PARÁGRAFO 8. En aquellos casos en que la sumatoria del CEG y el resultado de la función F1 calculada con la distancia del centroide a la estación de transferencia sea menor a los valores de F1 y F2 se adoptará este resultado como CRT, más los peajes de ida y vuelta hasta la estación de transferencia.
ARTÍCULO 25. VALOR DE LOS PEAJES PARA LA ACTIVIDAD DE RECOLECCIÓN Y TRANSPORTE (PRTZ). <Artículo integrado y unificado en el artículo 5.3.2.2.5.2 de la Resolución CRA 943 de 2021. Debe tenerse en cuenta lo dispuesto por el artículo 2.3.6.3.3.12 del Decreto 1077 de 2015> El valor de los peajes (PRTz), que deberá ser sumado al costo de recolección y transporte, corresponde a la relación de los peajes y de las toneladas transportadas de acuerdo con la siguiente ecuación:
![]()
Dónde:
| PRTZ: | Promedio de los últimos seis (6) meses (toneladas/mes) del valor de los peajes por APS por mes que paga el vehículo en su recorrido de ida y vuelta (pesos de diciembre de 2014/tonelada-mes), de acuerdo con lo definido en el artículo 4. |
| CPE: | Promedio de los últimos seis (6) meses del costo por mes de los peajes de ida y vuelta, ubicados en el trayecto entre el centroide del APS y la entrada del sitio de disposición final (pesos de diciembre de 2014/mes). |
| Promedio de toneladas recolectadas y transportadas en el APS del servicio z de la persona prestadora j del semestre que corresponda (toneladas/mes), de acuerdo con lo definido en el artículo 4. | |
ARTÍCULO 26. COSTO DE RECOLECCIÓN Y TRANSPORTE DE RESIDUOS SÓLIDOS CON APORTE BAJO CONDICIÓN (CRTABC). <Artículo integrado y unificado en el artículo 5.3.2.2.5.3 de la Resolución CRA 943 de 2021. Debe tenerse en cuenta lo dispuesto por el artículo 2.3.6.3.3.12 del Decreto 1077 de 2015> Cuando el valor total de los vehículos y/o activos asociados a esta actividad es aportado por una entidad pública, la proporción de costo de capital en que se reduciría el costo por tonelada para el CRT es del 22%.
Cuando el aporte de la entidad pública es parcial, el CRT con Aportes Bajo Condición se define de acuerdo con la siguiente función:
![]()
Donde:
| CRTABC: | Costo de Recolección y Transporte de residuos sólidos con Aporte Bajo Condición (pesos de diciembre de 2014/tonelada). |
| CRT: | Costo de Recolección y Transporte de Residuos Sólidos definido en el artículo 24 de la presente resolución (pesos diciembre de 2014/tonelada). |
| fCK: | Fracción del costo de capital aportado bajo condición. |
| p: | Proporción del costo total que corresponde a la adquisición de vehículos de recolección y transporte y/o activos asociados a esta actividad estimado en 22%. |
De esta forma, fCK se determinará de acuerdo con la siguiente expresión:
![]()
Donde:
| VA_CRTABC: | Valor del total de los activos aportados para la actividad de recolección y transporte (pesos diciembre de 2014). |
| VA_CRT: | Valor del total de los activos de la persona prestadora para la actividad de recolección y transporte (pesos diciembre de 2014). |
PARÁGRAFO. La citada metodología de cálculo de descuento por aportes de bienes y derechos se realiza conforme al artículo 87.9 de la Ley 142 de 1994.
ARTÍCULO 27. DESCUENTO AL CRT POR ANTIGüEDAD DE LOS VEHÍCULOS. <Artículo integrado y unificado en el artículo 5.3.2.2.5.4 de la Resolución CRA 943 de 2021. Debe tenerse en cuenta lo dispuesto por el artículo 2.3.6.3.3.12 del Decreto 1077 de 2015> <Artículo corregido por el artículo 3 de la Resolución 751 de 2016. El nuevo texto es el siguiente:> Para las personas prestadoras que operen un (1) turno diario de recolección y su flota de vehículos compactadores tenga en promedio una antigüedad mayor a los 12 años, aplicarán un descuento en el CRT del dos por ciento (2%) por cada año que supere dicho parámetro. En caso que las personas prestadoras operen en dos (2) o más turnos diarios de recolección, aplicarán un descuento en el CRT del dos por ciento (2%) por cada año cuando el promedio de la antigüedad de los vehículos compactadores supere los 6 años desde la fecha de su compra, de acuerdo con el siguiente descuento:
Des CRT=0.02*t
Donde:
| Des CRT: | Descuento por antigüedad de vehículos. |
| t: | Número de años en que se supera la vida útil reconocida para cada turno. |
El descuento se aplicará sobre las funciones f1 y f2, según corresponda”.
DE LOS COSTOS DE DISPOSICION FINAL.
ARTÍCULO 28. COSTO DE DISPOSICIÓN FINAL (CDF). <Artículo integrado y unificado en el artículo 5.3.2.2.6.1 de la Resolución CRA 943 de 2021. Debe tenerse en cuenta lo dispuesto por el artículo 2.3.6.3.3.12 del Decreto 1077 de 2015> El costo máximo a reconocer por la actividad de disposición final, está dado por:

Donde:
| CDF: | Costo máximo a reconocer por tonelada en el sitio de disposición final (pesos de diciembre de 2014/tonelada). |
| CDF VU: | Costo máximo a reconocer por tonelada, por vida útil de 20 años, en el sitio de disposición final (pesos de diciembre de 2014/tonelada). |
| CDF PC: | Costo máximo a reconocer por tonelada, por período de la etapa de posclausura de diez (10) años, en el sitio de disposición final (pesos de diciembre de 2014/tonelada). |
| Promedio mensual de residuos sólidos que se reciben en el sitio de disposición final, de acuerdo con lo definido en el artículo 4. En el caso de personas prestadoras que inicien actividades con posterioridad a la entrada en vigencia de la fórmula tarifaria, podrán utilizar períodos inferiores hasta acumular seis (6) meses. | |
PARÁGRAFO 1. En aquellos eventos en los que se deban incorporar incentivos establecidos y reglamentados por el Gobierno Nacional a los municipios y/o distritos donde se ubiquen rellenos sanitarios regionales, su valor se sumará al Costo de Disposición Final de residuos sólidos definido en el presente artículo. Tal situación se informará a la Superintendencia de Servicios Públicos Domiciliarios y a la Comisión de Regulación de Agua Potable y Saneamiento Básico.
PARÁGRAFO 2. Para los rellenos sanitarios en los que se dispongan menos de 2.400 toneladas mensuales y que por disposición de la autoridad ambiental competente, la altura del relleno sanitario no pueda superar los nueve (9) metros, el Costo de Disposición Final podrá ser incrementado hasta en un 10%.
PARÁGRAFO 3. Los rellenos sanitarios, para efectos de recepción de residuos, no podrán tener restricciones horarias, salvo el día domingo, en el cual la restricción no será superior a catorce (14) horas.
PARÁGRAFO 4. Todo sitio de disposición final deberá reportar anualmente al Sistema Único de Información (SUI), su capacidad de disposición y tener disponible la misma en un lugar visible, con el fin de ilustrar con información suficiente a los prestadores de recolección y transporte.
PARÁGRAFO 5. En el caso en que la autoridad ambiental determine un período adicional a diez (10) años de la etapa de posclausura, para el sitio de disposición final, la persona prestadora calculará su costo a partir de la siguiente fórmula:

Donde:
| k: | Factor que involucra el costo adicional por una duración superior a diez (10) años de la etapa de posclausura del relleno sanitario, según la exigencia de la autoridad ambiental. |
| Período adicional a diez (10) años de la posclausura del relleno sanitario, que ha sido aprobado por la autoridad ambiental. | |
PARÁGRAFO 6. Cuando se disponen los residuos en más de un sitio de disposición final, el costo se calculará de acuerdo con la siguiente fórmula:
![]()
Donde:
| Promedio mensual de las toneladas de residuos del semestre que corresponda del APS, dispuestas por la persona prestadora en el sitio de disposición final k (toneladas/mes), de acuerdo con lo definido en el artículo 4. | |
| CDFk: | Costo máximo a reconocer por tonelada en el sitio de disposición final k (pesos de diciembre de 2014/tonelada). |
| k: | Número de sitios de disposición final k de la persona prestadora, donde k= {1,2,3,4,...,n}. |
ARTÍCULO 29. COSTO DE DISPOSICIÓN FINAL CON APORTE BAJO CONDICIÓN (CDFABC). <Artículo integrado y unificado en el artículo 5.3.2.2.6.2 de la Resolución CRA 943 de 2021. Debe tenerse en cuenta lo dispuesto por el artículo 2.3.6.3.3.12 del Decreto 1077 de 2015> Cuando el valor total de los activos señalados en el artículo anterior es aportado por una entidad pública, la proporción de costo de capital en que se reduciría el costo total por tonelada para el CDF es el siguiente, de acuerdo al tamaño del relleno sanitario:
| Tipo de Relleno | Promedio toneladas/día último año | % Reducción Costo de Capital ( p) |
| RSU 1 | Mayor a 791 | 21% |
| RSU 2 | Desde 156 hasta 791 | 32% |
| RSU 3 | Menor a 156 | 37% |
Cuando el aporte de la entidad pública es parcial, el CDF con aportes bajo condición se define de acuerdo con la siguiente función:
![]()
Donde:
| CDFABC: | Costo de Disposición Final con Aporte Bajo Condición (pesos de diciembre de 2014/tonelada). |
| CDF: | Costo de Disposición Final definido en el artículo 28 de la presente resolución (pesos de diciembre de 2014/tonelada). |
| fCK: | Fracción del costo de capital aportado bajo condición. |
| p: | Proporción del costo total que corresponde al costo de capital, definido en el presente artículo. |
De esta forma, fCKse determinará de acuerdo con la siguiente expresión:

Donde:
| VA_CDFABC: | Valor del total de los activos aportados para la actividad de Disposición Final (pesos de diciembre de 2014). |
| VA_CDF: | Valor del total de los activos de la persona prestadora para la actividad de Disposición Final (pesos de diciembre de 2014). |
PARÁGRAFO. La citada metodología de cálculo de los descuentos por aportes de bienes y derechos se realiza conforme con el artículo 87.9 de la Ley 142 de 1994.
ARTÍCULO 30. PROVISIÓN DE RECURSOS PARA LAS ETAPAS DE CLAUSURA Y POSCLAUSURA. <Artículo integrado y unificado en el artículo 5.3.2.2.6.3 de la Resolución CRA 943 de 2021. Debe tenerse en cuenta lo dispuesto por el artículo 2.3.6.3.3.12 del Decreto 1077 de 2015> La persona prestadora de la actividad de disposición final deberá constituir un encargo fiduciario, que permita garantizar los recursos necesarios para la clausura y posclausura del mismo, de tal manera que todas las actividades y obras requeridas para dichas etapas se realicen, acorde con lo establecido en el artículo 2.3.2.3.5.18 del Decreto 1077 de 2015, o el que lo modifique, sustituya o adicione, de acuerdo con la fórmula definida para CDF_PCen el artículo 28.
En el caso en que la autoridad ambiental determine un período adicional a diez (10) años para la etapa de posclausura del sitio de disposición final, la persona prestadora calculará su costo a partir de lo establecido en el Parágrafo 5 del artículo 28.
ARTÍCULO 31. COSTO DE ALTERNATIVAS A LA DISPOSICIÓN FINAL. <Artículo integrado y unificado en el artículo 5.3.2.2.6.4 de la Resolución CRA 943 de 2021. Debe tenerse en cuenta lo dispuesto por el artículo 2.3.6.3.3.12 del Decreto 1077 de 2015> Podrán emplearse alternativas a la disposición final en relleno sanitario siempre y cuando éstas cuenten con los permisos y autorizaciones ambientales requeridas y el costo a trasladar a los usuarios en la tarifa no exceda el valor resultante de la suma del Costo de Disposición Final definido en el artículo 28 y el Costo de Tratamiento de Lixiviados por escenario definido en el artículo 32 por tonelada a pesos de diciembre de 2014. Dichos costos corresponden a la disposición final y tratamiento de lixiviados del municipio y/o distrito donde se pretenda emplear la alternativa.
ARTÍCULO 32. COSTO DE TRATAMIENTO DE LIXIVIADOS (CTL). <Artículo integrado y unificado en el artículo 5.3.2.2.6.5 de la Resolución CRA 943 de 2021. Debe tenerse en cuenta lo dispuesto por el artículo 2.3.6.3.3.12 del Decreto 1077 de 2015> El costo máximo de tratamiento de lixiviados por metro cúbico (CTLM) se calculará con las funciones a continuación y los escenarios por objetivo de calidad que se encuentran definidos en el ANEXO II, el cual hace parte integral de la presente resolución.
Tanto el volumen a incluir en el cálculo, como la selección del escenario de tratamiento de lixiviados, se harán de acuerdo con los objetivos de calidad que establezca la autoridad ambiental en la norma de vertimientos o la respectiva licencia ambiental.
El costo de tratamiento de lixiviados por tonelada se calculará de la siguiente forma:

Para el Escenario 1:

Para el Escenario 2:

Para el Escenario 3:

Para el Escenario 4:

Donde:
| CTL: | Costo de Tratamiento de Lixiviados por tonelada (pesos de diciembre de 2014/tonelada). |
| CTLM: | Costo de Tratamiento de Lixiviados por metro cúbico máximo a reconocer, según el objetivo de calidad (pesos de diciembre de 2014/m3). |
| CTLM_VU: | Costo de Tratamiento de Lixiviados por vida útil de 20 años por tonelada (pesos de diciembre de 2014/tonelada). |
| CTLM_PC: | Costo de Tratamiento de Lixiviados por tonelada, por período de la etapa de posclausura de diez (10) años, (pesos de diciembre de 2014/tonelada). |
| k: | Factor que involucra el costo adicional por una duración superior a diez (10) años de la posclausura del relleno sanitario, según lo que determine la autoridad ambiental. |
| Período adicional a diez (10) años de la duración de la posclausura del relleno sanitario, que ha sido aprobado por la autoridad ambiental. | |
| VL: | Volumen promedio mensual de lixiviados tratados del semestre que corresponda (m3/mes), de acuerdo con lo definido en el artículo 4. En el caso de personas prestadoras que inicien actividades con posterioridad de la entrada en vigencia de la fórmula tarifaria, podrán utilizar períodos inferiores hasta acumular seis (6) meses. |
| CMTLX: | Costo Generado por la Tasa Ambiental para el vertimiento del tratamiento de lixiviados en rellenos sanitarios, con referencia a la tasa retributiva por la utilización directa o indirecta del agua como receptor de vertimientos. El costo a incluir corresponderá al cobro definido por la autoridad ambiental al usuario que realiza vertimientos puntuales en forma directa o indirecta al recurso hídrico, en $/m³-mes, para el semestre anterior que corresponda. |
| Promedio mensual del semestre que corresponda de las toneladas de residuos recibidas en el relleno sanitario definido en el artículo 28 de la presente resolución (toneladas/mes). | |
En caso que por autorización de la Autoridad Ambiental solo realice recirculación de lixiviados, el CTLMmáximo será de $2.348 por m3 recirculado (pesos de diciembre 2014/m3).
PARÁGRAFO. Cuando se disponen los residuos en más de un sitio de disposición final, el Costo de Tratamiento de Lixiviados Promedio se calculará de acuerdo con la siguiente fórmula:

Donde:
| CTLk: | Costo de Tratamiento de Lixiviados por tonelada en el sitio de disposición final k (pesos diciembre de 2014/tonelada). |
| Promedio mensual de las toneladas de residuos del semestre que corresponda del APS por mes, dispuestas por la persona prestadora j, en el sitio de disposición final k (toneladas/mes), de acuerdo con lo definido en el artículo 4. | |
| k: | Número de sitios de disposición final utilizados por la persona prestadora j, donde k={1,2,3,4,...,n}. |
ARTÍCULO 33. COSTO DE TRATAMIENTO DE LIXIVIADOS CON APORTE BAJO CONDICIÓN (CDFABC). <Artículo integrado y unificado en el artículo 5.3.2.2.6.6 de la Resolución CRA 943 de 2021. Debe tenerse en cuenta lo dispuesto por el artículo 2.3.6.3.3.12 del Decreto 1077 de 2015> Cuando el valor total de los activos señalados en el artículo 32 es aportado por una entidad pública, la proporción de costo de capital en que se reduciría el costo total por tonelada dispuesta (CTL), de acuerdo con el escenario de tratamiento de lixiviados por objetivo de calidad, es:
| Escenario de tratamiento de lixiviados por objetivo de calidad | % Reducción Costo de Capital ( p) |
| 1 | 38% |
| 2 | 49% |
| 3 | 47% |
| 4 | 46% |
| 5 | 80% |
Cuando el aporte de la entidad pública es parcial, el CTL con Aportes Bajo Condición se define de acuerdo con la siguiente función:
![]()
Donde:
| CTLABC: | Costo de Tratamiento de Lixiviados con Aporte Bajo Condición (pesos diciembre de 2014/tonelada). |
| CTL: | Costo de Tratamiento de Lixiviados definido en el artículo 32 de la presente resolución (pesos de diciembre de 2014/tonelada). |
| fCK: | Fracción del costo de capital aportado bajo condición. |
| p: | Proporción del costo total que corresponde al costo de capital, definido en el presente artículo. |
De esta forma, fCKse determinará de acuerdo con la siguiente expresión:
![]()
Donde:
| VA_CTLABC: | Valor del total de los activos aportados para la actividad de Tratamiento de Lixiviados (pesos de diciembre de 2014). |
| VA_CTL: | Valor del total de los activos de la persona prestadora para la actividad de Tratamiento de Lixiviados (pesos de diciembre de 2014). |
PARÁGRAFO. La citada metodología de cálculo de los descuentos por aportes de bienes y derechos se realiza conforme con el artículo 87.9 de la ley 142 de 1994.
DEL VALOR BASE DE REMUNERACION DEL APROVECHAMIENTO.
ARTÍCULO 34. VALOR BASE DE REMUNERACIÓN DEL APROVECHAMIENTO (VBA). <Artículo integrado y unificado en el artículo 5.3.2.2.7.1 de la Resolución CRA 943 de 2021. Debe tenerse en cuenta lo dispuesto por el artículo 2.3.6.3.3.12 del Decreto 1077 de 2015> La remuneración del aprovechamiento, se calculará de la siguiente forma:

Donde:
| VBA: | Valor Base de Remuneración de Aprovechamiento (pesos de diciembre de 2014/tonelada). |
| j: | Personas prestadoras de recolección y transporte para residuos no aprovechables en el municipio y/o distrito. |
| CRTj | Costo Promedio de Recolección y Transporte de la persona prestadora de residuos sólidos no aprovechables definido en el artículo 24 de la presente resolución (pesos de diciembre de 2014/tonelada). |
| Promedio de toneladas recolectadas y transportadas de residuos no aprovechables en el APS de la persona prestadora j, del semestre que corresponda (toneladas/mes). | |
| CDFj | Costo Promedio de Disposición Final de la persona prestadora de residuos sólidos no aprovechables el artículo 28 de la presente resolución (pesos de diciembre de 2014/tonelada). |
| Promedio mensual de residuos sólidos que se reciben en el sitio de disposición final, de acuerdo con lo definido en el artículo 4. En caso de personas prestadoras que inicien actividades con posterioridad a la entrada en vigencia de la presente resolución, podrán utilizar períodos inferiores hasta acumular seis (6) meses. | |
| DINC: | Incentivo a la separación en la fuente que se otorgará como un descuento de hasta el 4% de conformidad con la reglamentación que para ello expida el Gobierno Nacional, del parágrafo 2 del artículo 88 de la Ley 1753 de 2015. |
Para el primer semestre de la aplicación de la presente resolución, CRTjy CDFj corresponderán a la primera facturación, para los demás corresponderá al promedio del semestre anterior así: Para los períodos de facturación entre enero y junio de cada año, con base en el promedio mensual de julio a diciembre del año inmediatamente anterior. Para los períodos de facturación de julio a diciembre, con base en el promedio mensual de enero a junio del año en cuestión.
PARÁGRAFO 1. El número de frecuencias de recolección para esta actividad corresponderá a lo establecido en el respectivo Programa para la Prestación del Servicio de Aseo acorde con el Plan de Gestión Integral de Residuos Sólidos (PGIRS).
PARÁGRAFO 2. El pesaje y clasificación de residuos aprovechables se realizará en las ECA, definidas en el Decreto 1077 de 2015 o aquel que lo modifique, adicione o sustituya.
PARÁGRAFO 3. La remuneración para cada persona prestadora de recolección y transporte de residuos aprovechables – RTA y ECA corresponderá a la misma proporción que exista entre el CRT y CDF de los prestadores de no aprovechables en cada municipio y/o distrito.
PARÁGRAFO 4. Para efectos de lo dispuesto en el presente artículo, las personas prestadoras de no aprovechables deberán publicar en su página web los costos de las actividades y toneladas definidos en dicho artículo dentro de los cinco (5) días siguientes a la actualización.
ARTÍCULO 35. LIQUIDACIÓN DEL VBA Y FACTURACIÓN DEL APROVECHAMIENTO. <Artículo integrado y unificado en el artículo 5.3.2.2.7.2 de la Resolución CRA 943 de 2021. Debe tenerse en cuenta lo dispuesto por el artículo 2.3.6.3.3.12 del Decreto 1077 de 2015> Para dar aplicación a lo establecido en la presente Resolución, los procesos de liquidación, facturación y recaudo y demás actividades asociadas al aprovechamiento y su operatividad, serán realizados conforme a la reglamentación que para ello expida el Gobierno Nacional, del parágrafo 2 del artículo 88 de la Ley 1753 de 2015.
Los costos derivados de la realización de estos procesos se encuentran incluidos en el Costo de Comercialización por Suscriptor del artículo 14.
DE LA ACTUALIZACION DE COSTOS.
ARTÍCULO 36. ACTUALIZACIÓN DE COSTOS. <Artículo integrado y unificado en el artículo 5.3.2.2.8.1 de la Resolución CRA 943 de 2021. Debe tenerse en cuenta lo dispuesto por el artículo 2.3.6.3.3.12 del Decreto 1077 de 2015> A partir de la entrada en vigencia la fórmula tarifaria, los cargos que componen el precio máximo, se actualizarán de la siguiente manera:
![]()
Donde:
| CMc,1: | Costo de cada actividad actualizado, a pesos del mes en el cual la persona prestadora empezará a aplicar la metodología de cálculo establecida en la presente resolución, expresado en términos unitarios. |
| CMc,0: | Costo de cada actividad resultante de la aplicación de la presente metodología para cada una de las actividades del servicio público de aseo, el cual para t=0 está expresado a pesos de diciembre de 2014. |
| FAc: | Factor de Actualización de Costos por actividad c, definido en el artículo 37 de la presente resolución. |
Una vez expresado el costo al mes de entrada en vigencia de la fórmula tarifaria, la persona prestadora actualizará los costos ajustando cada actividad de conformidad con la siguiente ecuación:
![]()
Donde:
| CMc, | Costo para la actividad c en el período t (pesos /suscriptor-mes). |
| CMc,-1 | Costo para la actividad c en el período t-1 (pesos /suscriptor-mes). |
| FAc: | Factor de Actualización de Costos por actividad c, definido en el artículo 37 de la presente resolución. |
| Xt-1: | Incremento en productividad esperada en el año t-1, definido en el artículo 38 de la presente resolución. |
| c : | 1, 2, 3, …,n (actividades incorporados en la presente resolución). |
| t : | 1,2, 3, … ,n (períodos). |
PARÁGRAFO. Los ajustes por productividad se causarán en enero de cada año, sin que esto implique que se deba actualizar el precio máximo si no se ha acumulado una variación en el factor de actualización de, al menos, un tres por ciento (3%) según lo dispuesto en el Artículo 125 de la Ley 142 de 1994 y el parágrafo 1 del artículo 37 de la presente resolución.
ARTÍCULO 37. FACTOR DE ACTUALIZACIÓN DE COSTOS POR ACTIVIDAD (FAC). <Artículo integrado y unificado en el artículo 5.3.2.2.8.2 de la Resolución CRA 943 de 2021. Debe tenerse en cuenta lo dispuesto por el artículo 2.3.6.3.3.12 del Decreto 1077 de 2015> Para ajustar los costos de las actividades resultantes de lo establecido en la presente resolución, se utilizarán las siguientes ecuaciones:
a) Factor de actualización del Costo de Barrido y Limpieza de Vías y Áreas Públicas por suscriptor (CBLS) y del Costo de Limpieza Urbana por suscriptor (CLUS), se actualizarán de acuerdo con el incremento del Salario Mínimo Mensual Legal Vigente adoptado por el Gobierno Nacional, así:
![]()
Donde:
| SMMLVt: | Salario Mínimo Mensual Legal Vigente adoptado por el Gobierno Nacional en el año t. |
b) Factor de Actualización del Costo de comercialización y del Costo de Tratamiento de Lixiviados: se actualizarán de acuerdo con el Índice de Precios al Consumidor (IPC), calculado por el DANE, así:
![]()
Donde:
| PFyRt: | Costo de comercialización, facturación y recaudo. |
| PTLt: | Costo de Tratamiento de lixiviados. |
c) Factor de Actualización del Costo de recolección y transporte en un 89% de acuerdo con la evolución del IPC, y en un 11% de acuerdo a la evolución del rubro de Combustible Fuel Oil y Diesel Oil ACPM (ICFO) que hace parte del IPP calculado por el Banco de la República; de modo que el resultado sea igual al que expresa la siguiente fórmula:

El año base (=100) de los índices IPC e ICFO será diciembre de 2014, de modo que:

Donde:
| IPCCt: | Índice combinado de precios al consumidor y combustible, en el período t, donde “t” es el mes en el cual se realiza la actualización y “t-1” corresponde al mes en el que se hizo la última actualización de acuerdo al Artículo 125 de la Ley 142 de 1994. |
d) Factor de Actualización del Costo de disposición final: se actualizará de acuerdo con la evolución del índice del grupo de obras de explanación (IOExp), que hace parte del Índice de Costos de Construcción Pesada (ICCP) elaborado por el DANE, así:

| Índice del grupo de obras de explanación (IOEXP), que hace parte del Índice de Costos de Construcción Pesada (ICCP) elaborado por el DANE. En el período t, donde “t” es el mes en el cual se realiza la actualización y “t-1” corresponde al mes en el que se hizo la última actualización según lo establecido en el Artículo 125 de la Ley 142 de 1994. |
PARÁGRAFO 1. La aplicación de los índices de actualización de costos a los que se refiere el presente artículo se sujetará a lo establecido en el artículo 125 de la Ley 142 de 1994.
PARÁGRAFO 2. Para la estimación del factor de actualización, se utilizará el índice de Precios al Consumidor (IPC) definido por el DANE, al momento de entrada en vigencia de la fórmula tarifaria, redondeado a la cantidad de decimales que dicha entidad publique de manera oficial.
PARÁGRAFO 3. El Factor de Actualización obtenido, deberá ser redondeado a cuatro decimales y las operaciones resultantes de la fórmula de actualización de costos por actividad serán redondeadas a dos decimales.
ARTÍCULO 38. FACTOR DE PRODUCTIVIDAD. <Artículo integrado y unificado en el artículo 5.3.2.2.8.4 de la Resolución CRA 943 de 2021. Debe tenerse en cuenta lo dispuesto por el artículo 2.3.6.3.3.12 del Decreto 1077 de 2015> <Artículo modificado por el artículo 1 de la Resolución 912 de 2020. El nuevo texto es el siguiente:> La Comisión de Regulación de Agua Potable y Saneamiento Básico - CRA establecerá anualmente el factor de productividad con el cual se actualizarán los costos medios de referencia.
A partir del período de facturación posterior a marzo de 2021, éste será calculado de acuerdo con la siguiente fórmula:
![]()
Donde:
Incremento en productividad esperada en el año t-1.
Factor de distribución del incremento de productividad entre prestadores de aseo y usuarios. Corresponderá a 50% si la persona prestadora ha reportado y certificado la información requerida en el ANEXO V en los términos y plazos definidos para tal fin, o 95% en el caso que la persona prestadora no haya reportado y certificado la información requerida en el ANEXO V en los términos y plazos definidos para tal fin.
Factor de productividad que será definido por la Comisión – Regulación de Agua Potable y Saneamiento Básico -CRA.
1,2, 3,...n (años).
Las personas prestadoras del ámbito de aplicación de la presente resolución deberán, en el mes de julio de cada año, reportar y certificar en el Sistema Único de Información –SUÍ la información del año información del año inmediatamente anterior solicitada en el formulario del ANEXO V de la presente resolución. La Superintendencia de Servicios Públicos Domiciliaros -SSPD informará a esta Comisión, dentro de los quince (15) días hábiles siguientes al vencimiento del plazo previsto, las personas preste doras que no reportaron y certificaron información.
PARÁGRAFO 1. El factor de productividad establecida en este artículo es único para todas las personas preste doras de cada segmento, incluyendo aquellas que inicien operación con posterioridad la vigencia de la presente resolución.
PARÁGRAFO 2. En los períodos de facturación hasta el mes de agosto de 2019, el incremento en productividad
p corresponde a cero (0)
PARÁGRAFO 3. En el período de facturación siguiente a agosto de 2019, el incremento en productividad
, en cada uno de los costos de las actividades del servicio público de aseo corresponde a 0,072%.
PARÁGRAFO 4. <Parágrafo modificado por el artículo 1 de la Resolución 927 de 2020. El nuevo texto es el siguiente:> Para el período de facturación siguiente a marzo de 2020, el incremento en productividad
en cada uno de los costos de las actividades del servicio público de aseo, corresponderá a cero (0).
PARÁGRAFO 5o. <Parágrafo adicionado por el artículo 1 de la Resolución 942 de 2021. El nuevo texto es el siguiente:> En el período de facturación siguiente a marzo de 2021 la variable Factor de Productividad (FP), será igual a cero (0).
Para las Áreas de Prestación del Servicio (APS), que se relacionan en el ANEXO V-A de la presente resolución, el Factor de distribución (â) será de 50%. Para las Áreas de Prestación del Servicio (APS) que no se relacionen en dicho anexo, el Factor de distribución (â) será de 95%. Aquellas personas prestadoras que no reportaron información para alguno de los años 2018 o 2019, porque no se encontraban operando en el APS en ese(os) año(s), deberán aplicar un â equivalente al 50%.
DE LAS TARIFAS Y LA PRODUCCION DE RESIDUOS FACTURADOS.
ARTÍCULO 39. TARIFA FINAL POR SUSCRIPTOR. <Artículo integrado y unificado en el artículo 5.3.2.3.1 de la Resolución CRA 943 de 2021. Debe tenerse en cuenta lo dispuesto por el artículo 2.3.6.3.3.12 del Decreto 1077 de 2015> Para efecto de calcular la tarifa mensual final al suscriptor, los prestadores de recolección y transporte de residuos no aprovechables aplicarán la siguiente fórmula:
i) Si el usuario no tiene aforo:
![]()
ii) Si el usuario tiene aforo:
![]()
Donde:
| TFSu,: | Tarifa Final por suscriptor tipo u, en el APS z, de la persona prestadora (pesos/suscriptor-mes). |
| TFSi,: | Tarifa Final por suscriptor aforado i, en el APS z, de la persona prestadora (pesos/suscriptor-mes). |
| CFT: | Costo Fijo Total definido en el artículo 11 de la presente resolución. (Pesos/suscriptor-mes). |
| CVNA: | Costo Variable por tonelada de residuos no aprovechables definido en el artículo 12 de la presente resolución (pesos/tonelada). |
| VBA: | Valor Base de Aprovechamiento por tonelada de residuos aprovechables definida en el artículo 34. |
| TAFAi,: | Toneladas de Residuos Aprovechables aforadas por suscriptor i en la ECA k, (toneladas/suscriptor- mes). |
| Toneladas de Barrido y Limpieza por suscriptor definidas en el artículo 40 de la presente resolución (toneladas/suscriptor- mes). | |
| Toneladas de Limpieza Urbana por suscriptor definidas en el artículo 40 de la presente resolución (toneladas/suscriptor- mes). | |
| Toneladas de Rechazo del Aprovechamiento por suscriptor definidas en el artículo 40 de la presente resolución (toneladas/suscriptor- mes). | |
| Toneladas Efectivamente Aprovechadas no aforadas por suscriptor definidas en el artículo 40 de la presente resolución (toneladas/suscriptor- mes). | |
| TRNAu,: | Toneladas de Residuos No Aprovechables por suscriptor u en el APS z, de la persona prestadora, de acuerdo con lo establecido en el artículo 41 de la presente resolución (toneladas/suscriptor-mes). |
| TAFNAi,: | Toneladas de Residuos No Aprovechables aforadas por suscriptor i en el APS z de la persona prestadora (toneladas/suscriptor- mes). |
| FCSu: | Factor de contribución o subsidio correspondiente a cada suscriptor, aplicable para el servicio público de aseo, determinado por estrato o tipo de uso de acuerdo con la normatividad aplicable, subsidio con signo negativo y contribución con signo positivo. |
| k: | Número de Estaciones de Clasificación y Aprovechamiento –ECA- en el municipio donde k= {1,2,3,4,...,m}. |
ARTÍCULO 40. CÁLCULO DE TONELADAS POR SUSCRIPTOR DEFINIDAS EN CONJUNTO POR PRESTADORES PARA FACTURACIÓN. <Artículo integrado y unificado en el artículo 5.3.2.3.2 de la Resolución CRA 943 de 2021. Debe tenerse en cuenta lo dispuesto por el artículo 2.3.6.3.3.12 del Decreto 1077 de 2015> Los prestadores que se encuentran en áreas urbanas de un mismo municipio y/o distrito deberán mensualmente calcular los valores de toneladas de residuos de barrido y limpieza por suscriptor
, de limpieza urbana por suscriptor
, de rechazo del aprovechamiento por suscriptor (
), efectivamente aprovechados por suscriptor no aforado (
), efectivamente aprovechados por suscriptor aforado gran productor (TAFAi,k), de acuerdo con las siguientes fórmulas:

Si el suscriptor cuenta con aforo ordinario, extraordinario o permanente, las toneladas de residuos aprovechables por suscriptor será el resultado del aforo TAFAi,k.
Donde:
| QBLj: | Toneladas mensuales de barrido y limpieza de la persona prestadora j (toneladas/mes). |
| QLUj: | Toneladas mensuales de limpieza urbana de la persona prestadora j (toneladas/mes). |
| QRj: | Toneladas mensuales de rechazo del aprovechamiento de la persona prestadora j medidas en las personas prestadoras ECA (toneladas/mes). |
| QAj: | Toneladas mensuales efectivamente aprovechadas no aforadas de la persona prestadora j de RTA, reportadas por las ECA (toneladas/mes). |
| TAFAik: | Toneladas mensuales efectivamente aprovechadas aforadas por suscriptor gran generador i en la ECA k. |
| N: | Promedio de los últimos seis (6) meses del número de suscriptores totales en el municipio y/o distrito, de acuerdo con lo establecido en el artículo 4 de la presente resolución. |
| ND: | Promedio total de número de suscriptores de inmuebles desocupados incluidos los desocupados grandes productores no residenciales para el municipio y/o distrito de los últimos seis (6) meses, de acuerdo con lo establecido en el artículo 4 de la presente resolución. |
| NA: | Promedio total de número de suscriptores gran productor de aprovechamiento, para el municipio y/o distrito de los últimos seis (6) meses, de acuerdo con lo establecido en el artículo 4 de la presente resolución. |
| j: | Número de personas prestadoras donde j= {1,2,3,4,...,m}. |
PARÁGRAFO 1. En el caso de personas prestadoras del servicio público de aseo que inicien actividades con posterioridad a la entrada en vigencia de la fórmula tarifaria, podrán utilizar períodos inferiores hasta acumular la información correspondiente al período señalado.
PARÁGRAFO 2. Para efecto de facturación, las ECA no se considerarán usuarios de residuos no aprovechables. En esa medida las toneladas rechazadas por las ECA se distribuirán por igual entre los suscriptores de residuos no aprovechables.
PARÁGRAFO 3. Para el cálculo del
, se deberá garantizar que el total de toneladas mensuales en el municipio y/o distrito esté acorde con las metas establecidas en el PGIRS. Las toneladas aprovechables corresponden a la suma de las toneladas efectivamente aprovechadas y las rechazadas por las ECA en el municipio y/o distrito.
ARTÍCULO 41. TONELADAS DE RESIDUOS NO APROVECHABLES POR TIPO DE SUSCRIPTOR (TRNAU,Z). <Artículo integrado y unificado en el artículo 5.3.2.3.3 de la Resolución CRA 943 de 2021. Debe tenerse en cuenta lo dispuesto por el artículo 2.3.6.3.3.12 del Decreto 1077 de 2015> Las Toneladas de Residuos no Aprovechables por tipo de suscriptor en el APS de servicio z, se calcularán de acuerdo con la siguiente fórmula:
Si el suscriptor cuenta con aforo ordinario, extraordinario o permanente de los residuos, las toneladas de residuos no aprovechables por suscriptor será el resultado del aforo TAFNAi.
Si no tiene aforo individual de los residuos:

Donde:
| TRNAu,: | Toneladas de Residuos No Aprovechables por tipo de suscriptor u por APS z, de la persona prestadora (toneladas/suscriptor-mes). |
| Toneladas promedio de residuos No Aprovechables por APS z, de la persona prestadora (toneladas/mes), de acuerdo con lo definido en el artículo 4. | |
| Toneladas promedio de residuos de Rechazo del Aprovechamiento del semestre que corresponda por APS z, de la persona prestadora (toneladas/mes), de acuerdo con lo definido en el artículo 4. | |
| TAFNAi,: | Toneladas de Residuos No Aprovechables aforadas por suscriptor i, en la APS z (toneladas/suscriptor-mes). |
| Fu: | Factor de producción para el suscriptor tipo u. |
| nu,: | Promedio de los últimos seis (6) meses del número de suscriptores del tipo u en el APS z de la persona prestadora del servicio, de acuerdo con lo establecido en el artículo 4 de la presente resolución. |
| nau,: | Promedio de los últimos seis (6) meses del número de suscriptores con aforo ordinario, extraordinario o permanente del tipo u en el APS z de la persona prestadora del servicio, de acuerdo con lo establecido en el artículo 4 de la presente resolución. |
| nDu,z: | Promedio de los últimos seis (6) meses del número de suscriptores de inmuebles desocupados, incluidos los desocupados grandes productores no residenciales del tipo u en el APS z de la persona prestadora del servicio de acuerdo con lo establecido en el artículo 4 de la presente resolución.. |
| u: | Tipo de suscriptor, u = 1,2,3,….,8, según lo establecido en el artículo 42 de la presente resolución. |
PARÁGRAFO 1. En caso que la persona prestadora de residuos no aprovechables preste el servicio en varios municipios, deberá realizar los cálculos de forma separada por municipio y/o distrito, y APS y reportarlo de esa manera al Sistema Único de Información (SUI).
PARÁGRAFO 2. Para el cálculo de la cantidad de residuos no aprovechables por suscriptor en el APS del servicio (
), se aplicará el promedio de toneladas del semestre de acuerdo con lo definido en el artículo 4. En el caso de personas prestadoras del servicio público de aseo que inicien actividades con posterioridad a la entrada en vigencia de la fórmula tarifaria, podrán utilizar períodos inferiores hasta acumular la información correspondiente al período señalado.
PARÁGRAFO 3. Aquellos prestadores que adopten una facturación bimestral, calcularán las toneladas mediante la suma de los dos (2) meses de prestación del servicio.
ARTÍCULO 42. FACTORES DE PRODUCCIÓN (FU). <Artículo integrado y unificado en el artículo 5.3.2.3.4 de la Resolución CRA 943 de 2021. Debe tenerse en cuenta lo dispuesto por el artículo 2.3.6.3.3.12 del Decreto 1077 de 2015> Los factores de producción Fu para cada tipo de suscriptor son:
| Tipo de suscriptor | Fu |
| F1 | 0,79 |
| F2 | 0,86 |
| F3 | 0,90 |
| F4 | 1,00 |
| F5 | 1,22 |
| F6 | 1,50 |
| F7 | 2,44 |
| F8 | 0,00 |
Donde los factores de producción F1 a F6 corresponden respectivamente a los estratos 1 a 6 de suscriptores residenciales; el factor F7 se refiere a los pequeños productores no residenciales; F8 es el factor para inmuebles o lotes desocupados.
PARÁGRAFO 1. Para la asignación de residuos de grandes productores no residenciales se deberá tomar en todo caso, el aforo realizado.
PARÁGRAFO 2. La persona prestadora podrá establecer factores de producción diferentes a los señalados en el presente artículo, previa solicitud ante la Comisión de Regulación de Agua Potable y Saneamiento Básico y aprobación de la misma, para lo cual deberá presentar los estudios y soportes pertinentes, que incluyan pesaje al menos de seis (6) meses consecutivos.
Para el caso del factor de producción F7, es decir, los correspondientes a Pequeños Productores de residuos sólidos, la entidad tarifaria local, podrá establecer factores menores siempre y cuando los mismos se asignen a categorías previamente definidas y soportadas por la persona prestadora de acuerdo con la generación de residuos. En este caso no será necesaria la aprobación de la Comisión de Regulación de Agua Potable y Saneamiento Básico - CRA, pero sí se deberán informar a la CRA, a la Superintendencia de Servicios Públicos Domiciliarios - SSPD y reportar al Sistema Único de Información-SUI, las categorías establecidas con sus respectivos factores de producción, así como los soportes de dicha categorización.
PARÁGRAFO 3. Aquellos prestadores de disposición final en relleno sanitario que no cuenten con báscula de pesaje de los residuos sólidos dispondrán de un tiempo máximo de un (1) año a partir del inicio de la vigencia de la fórmula tarifaria contenida en la presente resolución, para su instalación y puesta en operación.
PARÁGRAFO 4. En todo caso, la aplicación de lo establecido en el presente artículo no exime a las personas prestadoras de los deberes establecidos en los artículos 2.3.2.3.3.1.9 y 2.3.2.3.3.2.10 del Decreto 1077 de 2015 o aquel que lo modifique, adicione, sustituya o derogue; y, por ende, el incumplimiento de los mismos podrá ser sancionado por la autoridad competente.
ARTÍCULO 43. CONTENIDO DE LA FACTURA. <Artículo integrado y unificado en el artículo 5.3.2.3.5 de la Resolución CRA 943 de 2021. Debe tenerse en cuenta lo dispuesto por el artículo 2.3.6.3.3.12 del Decreto 1077 de 2015> En concordancia con lo establecido en los artículos 147 y 148 de la Ley 142 de 1994, la factura del servicio público de aseo deberá contener información suficiente sobre los componentes de la tarifa final, para que el suscriptor o usuario pueda establecer con facilidad si la empresa se ciñó a la ley al elaborarla en virtud del contrato de condiciones uniformes que la persona prestadora esté obligado a cumplir. Lo anterior, separado para residuos no aprovechables y aprovechables.
En este contexto, en cuanto a la liquidación de la tarifa final por suscriptor deberá contener como mínimo los siguientes elementos:
a. Costo Fijo Total
b. Costo Variable de residuos no aprovechables
c. Valor Base de Aprovechamiento por tonelada de residuos aprovechables
d. Toneladas de Barrido y Limpieza por suscriptor
e. Toneladas de Limpieza Urbana por suscriptor
f. Toneladas de Rechazo del Aprovechamiento por suscriptor
g. Toneladas Efectivamente Aprovechadas por suscriptor
h. Toneladas de Residuos No Aprovechables por suscriptor
i. Toneladas de Residuos No Aprovechables aforadas por suscriptor
j. Factor de contribución o subsidio correspondiente a cada suscriptor
PARÁGRAFO. En virtud de lo establecido en los artículos 14.9, 147 y 148 de la Ley 142 de 1994, la persona prestadora de recolección y transporte de residuos no aprovechables, garantizará la facturación del servicio de aseo y sus actividades complementarias en los términos del artículo 2.3.2.2.2.1.13 del Decreto 1077 de 2015 y demás normas que lo modifiquen, adicionen, deroguen o sustituyan.
ARTÍCULO 44. DESCUENTOS POR RECOLECCIÓN EFECTUADA SIN SERVICIO PUERTA A PUERTA. <Artículo integrado y unificado en el artículo 5.3.2.3.6 de la Resolución CRA 943 de 2021. Debe tenerse en cuenta lo dispuesto por el artículo 2.3.6.3.3.12 del Decreto 1077 de 2015> Cuando por imposibilidad operativa de la entrada de vehículos o de los operarios del servicio, la recolección de residuos no aprovechables no se realice puerta a puerta, los suscriptores tendrán un descuento del diez por ciento (10%) en el precio máximo correspondiente a la actividad de recolección y transporte, de acuerdo con lo definido en el Decreto 1077 de 2015 o aquel que lo modifique, adicione o sustituya.
La persona prestadora aplicará dicho descuento una vez determine la imposibilidad operativa de la prestación de la actividad de recolección puerta a puerta, sin perjuicio de las investigaciones pertinentes que realice el ente de control en caso de incumplimiento.
ARTÍCULO 45. INMUEBLES DESOCUPADOS. <Artículo integrado y unificado en el artículo 5.3.2.3.7 de la Resolución CRA 943 de 2021. Debe tenerse en cuenta lo dispuesto por el artículo 2.3.6.3.3.12 del Decreto 1077 de 2015> A los inmuebles que acrediten estar desocupados se les aplicará la tarifa final por suscriptor establecida en el artículo 39 de la presente resolución, considerando una cantidad correspondiente de toneladas presentadas para recolección igual a cero en las siguientes variables: (
).
PARÁGRAFO. Para ser objeto de la aplicación de las disposiciones señaladas en el presente artículo, será necesario acreditar ante la persona prestadora del servicio la desocupación del inmueble, para lo cual el solicitante deberá presentar a la persona prestadora al menos uno (1) de los siguientes documentos:
i. Factura del último período del servicio público domiciliario de acueducto, en la que se pueda establecer que no se presentó consumo de agua potable.
ii. Factura del último período del servicio público domiciliario de energía, en la que conste un consumo inferior o igual a cincuenta (50) kilowatts/hora-mes.
iii. Acta de la inspección ocular al inmueble por parte de la persona prestadora del servicio público de aseo, en la que conste la desocupación del predio.
iv. Carta de aceptación de la persona prestadora del servicio público domiciliario de acueducto de la suspensión del servicio por mutuo acuerdo.
Una vez acreditada la desocupación del inmueble conforme a lo previsto anteriormente, la persona prestadora del servicio público de aseo deberá tomar todas las medidas necesarias para que el suscriptor cancele únicamente el valor correspondiente a la tarifa del inmueble desocupado, de conformidad con la fórmula de cálculo que se fija en la presente resolución.
La acreditación de la desocupación del inmueble tendrá una vigencia de tres (3) meses, al cabo de los cuales deberá presentarse nuevamente la documentación respectiva ante la persona prestadora del servicio público de aseo.
La persona prestadora del servicio público de aseo podrá dar aplicación, de oficio, a la tarifa definida en el presente artículo.
ARTÍCULO 46. GRANDES PRODUCTORES. <Artículo integrado y unificado en el artículo 5.3.2.3.8 de la Resolución CRA 943 de 2021. Debe tenerse en cuenta lo dispuesto por el artículo 2.3.6.3.3.12 del Decreto 1077 de 2015> Los grandes productores a los que se refiere el numeral 21 del artículo 2.3.2.1.1 del Decreto 1077 de 2015, o el que lo modifique, sustituya, adicione o derogue, serán clasificados en dos categorías. La primera categoría será para aquellos suscriptores que generan y presentan para recolección residuos en un volumen superior o igual a un metro cúbico (1 m3/mes) y menor a seis metros cúbicos mensuales (6 m3/mensuales). La segunda categoría corresponderá a aquellos suscriptores que produzcan seis metros cúbicos mensuales (6 m3/mensuales) o más.
Todos los grandes productores que generen un volumen superior o igual a seis metros cúbicos mensuales (6 m3/mensuales), podrán pactar libremente las tarifas correspondientes a la recolección y transporte de residuos. Los acuerdos con los prestadores incluirán la medición de los residuos objeto del servicio.
Todos los grandes productores definidos en el presente artículo deberán ser aforados de acuerdo con la metodología vigente.
PARÁGRAFO. Los multiusuarios que generan y presentan para recolección residuos en un volumen superior o igual a seis metros cúbicos mensuales (6 m3/mensuales), podrán pactar libremente las tarifas correspondientes a la recolección y transporte de residuos.
ARTÍCULO 47. BALANCE DE PRODUCCIÓN DE RESIDUOS DEL ÁREA DE PRESTACIÓN DEL SERVICIO FACTURADOS (QZ). <Artículo integrado y unificado en el artículo 5.3.2.3.9 de la Resolución CRA 943 de 2021. Debe tenerse en cuenta lo dispuesto por el artículo 2.3.6.3.3.12 del Decreto 1077 de 2015> La producción total de residuos sólidos provenientes del APS facturados por la persona prestadora se calcula de la siguiente manera:
Qz=QBLz+ QLUz+QNAz+QAz
Donde:
| Qz: | Total producción promedio de residuos del APS z de la persona prestadora j (toneladas/mes), de acuerdo con lo definido en el artículo 4. |
| QBLz: | Toneladas promedio de residuos de Barrido y Limpieza (toneladas/mes) de la persona prestadora j en el APS z. (toneladas/mes), de acuerdo con lo definido en el artículo 4. |
![]()
| TRBL: | Toneladas de Barrido y Limpieza por suscriptor definidas en el artículo 40 de la presente resolución (toneladas/suscriptor-mes). |
| QLUz: | Toneladas promedio de residuos de Limpieza Urbana de la persona prestadora j en el APS z (toneladas/mes), de acuerdo con lo definido en el artículo 4. |
![]()
| Toneladas de Limpieza Urbana por suscriptor definidas en el artículo 40 de la presente resolución (toneladas/suscriptor-mes). | |
| QNAz: | Toneladas promedio de residuos no aprovechables del semestre, de la persona prestadora j en el APS z (toneladas/mes). |

| TRNAu,: | Toneladas de Residuos No Aprovechables no aforados por tipo de suscriptor u, de la persona prestadora j en el APS z, definidas en el artículo 41 de la presente resolución (toneladas/mes). |
| TAFNAi,: | Toneladas de Residuos No Aprovechables aforadas por suscriptor i, en la APS z, definidas en el artículo 41 de la presente resolución (toneladas/suscriptor-mes). |
| Toneladas de Residuos de Rechazo del Aprovechamiento por suscriptor definidas en el artículo 40 de la presente resolución (toneladas/suscriptor-mes). | |
| QAz: | Toneladas promedio de residuos efectivamente aprovechadas, aforadas y no aforadas de la persona prestadora j (toneladas/mes). |
![]()
| nj: | Número de suscriptores de la persona prestadora RTA j, de acuerdo con lo establecido en el artículo 4. |
| QAj: | Toneladas mensuales efectivamente aprovechadas no aforadas de la persona prestadora j de RTA, reportadas por las ECA (toneladas/mes) definidas en el artículo 40 de la presente resolución. |
| nu,: | Promedio de los últimos seis (6) meses del número de suscriptores por tipo u de la persona prestadora en el APS z, de acuerdo con lo definido en el artículo 4. |
| nz: | Promedio de los últimos seis (6) meses del número de suscriptores del APS z de la persona prestadora de acuerdo con lo definido en el artículo 4. |
| ndz: | Promedio de los últimos seis (6) meses del número de suscriptores desocupados del APS z de la persona prestadora de acuerdo con lo definido en el artículo 4. |
PARÁGRAFO 1. Las personas prestadoras de residuos no aprovechables deberán reportar al Sistema Único de Información (SUI) la producción mensual de residuos separada por QBLZ, QLUZ, QNAz y QAz para cada APS z en el municipio y/o distrito. Para lo cual realizará rutas de recolección diferentes por cada tipo de actividad y residuos.
PARÁGRAFO 2. Para efectos de calcular la producción de residuos se tomará el promedio de acuerdo con lo definido en el artículo 4. Las personas prestadoras del servicio público de aseo que inicien actividades con posterioridad a la entrada en vigencia de la fórmula tarifaria, podrán utilizar períodos inferiores hasta acumular la información correspondiente al período señalado.
PARÁGRAFO 3. La determinación de las toneladas de residuos: QBLZ, QLUZ, QNAz y QAz, recogidos en el APS z, en el período de producción de residuos, se hará con base en los pesajes realizados en los sitios de disposición final, intermedios y/o Estaciones de Clasificación y Aprovechamiento ECA, sin que en ningún caso pueda darse una doble contabilización de dichas toneladas de residuos.
ARTÍCULO 48. REPORTE EN LÍNEA DEL PESAJE DE RESIDUOS. <Artículo integrado y unificado en el artículo 5.3.2.3.10 de la Resolución CRA 943 de 2021. Debe tenerse en cuenta lo dispuesto por el artículo 2.3.6.3.3.12 del Decreto 1077 de 2015> Los prestadores de recolección y transporte y aquellos que presten la actividad de disposición final deberán contar con sistemas e instrumentos de identificación de vehículos, pesaje y reporte en línea de la información con base en los siguientes criterios:
Para las personas prestadoras de recolección y transporte de residuos no aprovechables:
-- Los vehículos contarán con sistemas de identificación GPS.
Para la persona prestadora de disposición final:
-- Instalación de software para la recepción, registro y automatización de la información de identificación de los vehículos, su procedencia por microrrutas y/o APS y pesaje de los residuos sólidos.
-- Automatización de la identificación por el Sistema de Posicionamiento Global (GPS) y los sistemas de información georreferenciada.
-- Transmisión de datos en tiempo real a un servidor central, con tecnologías de transferencia de datos a través de canales de comunicación de mínimo costo.
-- La información de identificación de vehículos y de pesaje de residuos sólidos debe ser registrada de forma automática y transmitida a las bases de datos centralizadas en los términos que la Superintendencia de Servicios Públicos Domiciliarios defina para ello.
Para la ECA:
-- Automatización del registro de datos de identificación y cantidad de residuos dispuestos en cada estación de clasificación y aprovechamiento para la actividad de aprovechamiento deberá realizarse mediante el uso de tarjetas con tecnología RFID (Identificación por Radiofrecuencia) o similares.
Los prestadores que atiendan municipios y/o distritos del primer segmento tendrán seis (6) meses, a partir de la expedición de la presente resolución, para realizar la instalación y puesta en operación de los sistemas. Los prestadores que atiendan municipios y/o distritos del segundo segmento tendrán un (1) año, para tal fin.
DE LA DEFINICIÓN DE DESCUENTOS ASOCIADOS A LA CALIDAD DEL SERVICIO.
ARTÍCULO 49. OBJETO DE LOS DESCUENTOS ASOCIADOS A LA CALIDAD DEL SERVICIO. <Artículo integrado y unificado en el artículo 5.3.2.4.1.1 de la Resolución CRA 943 de 2021. Debe tenerse en cuenta lo dispuesto por el artículo 2.3.6.3.3.12 del Decreto 1077 de 2015> El objeto del presente título es determinar los descuentos asociados al nivel de cumplimiento de las metas de calidad de servicio público de aseo, definidos bajo el concepto de integralidad tarifaria.
El régimen de calidad y descuentos que se describe en el presente título aplica sin perjuicio de las sanciones o acciones que la Superintendencia de Servicios Públicos Domiciliarios pueda efectuar por fallas en la prestación del servicio.
DE LA PERIODICIDAD Y RESPONSABILIDAD DEL RÉGIMEN DE CALIDAD Y DESCUENTOS.
ARTÍCULO 50. PERIODICIDAD EN EL CÁLCULO DE LOS INDICADORES. <Artículo integrado y unificado en el artículo 5.3.2.4.2.1 de la Resolución CRA 943 de 2021. Debe tenerse en cuenta lo dispuesto por el artículo 2.3.6.3.3.12 del Decreto 1077 de 2015> Los indicadores que se definen en el presente título, deberán ser calculados mensualmente por cada persona prestadora del servicio público de aseo de manera independiente para cada APS. Cada prestador deberá reportar al SUI, con una periodicidad mensual y bajo las condiciones que la Superintendencia de Servicios Públicos Domiciliarios establezca para efectos del respectivo control tarifario, la información necesaria para su cálculo.
ARTÍCULO 51. PERIODICIDAD EN EL CÁLCULO Y APLICACIÓN DE LOS DESCUENTOS. <Artículo integrado y unificado en el artículo 5.3.2.4.2.2 de la Resolución CRA 943 de 2021. Debe tenerse en cuenta lo dispuesto por el artículo 2.3.6.3.3.12 del Decreto 1077 de 2015> Los descuentos que se definen en el presente título, deberán ser calculados y aplicados semestralmente por cada persona prestadora del servicio público de aseo, para lo cual cada prestador deberá reportar al SUI, con una periodicidad semestral y bajo las condiciones que la Superintendencia de Servicios Públicos Domiciliarios establezca para efectos del respectivo control tarifario, la información necesaria para su cálculo y aplicación.
PARÁGRAFO. <Parágrafo adicionado por el artículo 1 de la Resolución 858 de 2018. El nuevo texto es el siguiente:> Las personas prestadoras que inicien actividades con posterioridad a la entrada en vigencia de la fórmula tarifaria deberán estimar los indicadores para el primer semestre de evaluación, a partir de la información mensual que acumule, hasta finalizar el semestre calendario en el que haya entrado a operar, de conformidad con lo establecido en el artículo 4o de la presente resolución, en relación con el Promedio para los cálculos.
ARTÍCULO 52. VERIFICACIÓN DE LOS INDICADORES Y APLICACIÓN DE LOS DESCUENTOS CORRESPONDIENTES. <Artículo integrado y unificado en el artículo 5.3.2.4.2.3 de la Resolución CRA 943 de 2021. Debe tenerse en cuenta lo dispuesto por el artículo 2.3.6.3.3.12 del Decreto 1077 de 2015> <Artículo modificado por el artículo 2 de la Resolución 858 de 2018. El nuevo texto es el siguiente:> La persona prestadora verificará el cálculo de los indicadores de calidad del APS y los respectivos descuentos por APS, definidos en el presente título.
Lo anterior, sin perjuicio de las acciones de inspección, vigilancia y control de la Superintendencia de Servicios Públicos Domiciliarios.
ARTÍCULO 53. REPORTE DE LA INFORMACIÓN DE LOS INDICADORES. <Artículo integrado y unificado en el artículo 5.3.2.4.2.4 de la Resolución CRA 943 de 2021. Debe tenerse en cuenta lo dispuesto por el artículo 2.3.6.3.3.12 del Decreto 1077 de 2015> <Artículo modificado por el artículo 3 de la Resolución 858 de 2018. El nuevo texto es el siguiente:> La persona prestadora deberá reportar para cada mes la información y los cálculos asociados a los indicadores de calidad del APS y los respectivos descuentos por APS, a través del Sistema Único de Información (SUI) para su ejercicio de inspección, vigilancia y control en las condiciones que establezca la Superintendencia de Servicios Públicos Domiciliarios.
DE LOS INDICADORES DE CALIDAD DEL SERVICIO PÚBLICO DE ASEO.
ARTÍCULO 54. MEDICIÓN DE LA FRECUENCIA Y HORARIOS DE RECOLECCIÓN DE RESIDUOS SÓLIDOS NO APROVECHABLES. <Artículo integrado y unificado en el artículo 5.3.2.4.3.1 de la Resolución CRA 943 de 2021. Debe tenerse en cuenta lo dispuesto por el artículo 2.3.6.3.3.12 del Decreto 1077 de 2015> Para la medición de la frecuencia y horarios de recolección de residuos sólidos no aprovechables, cada prestador deberá implementar un Sistema de Posicionamiento Global en los vehículos de recolección y transporte de residuos sólidos no aprovechables, el cual deberá estar constituido por los siguientes elementos, como mínimo:
1. Un dispositivo de posicionamiento global o GPS en cada camión recolector de residuos sólidos no aprovechables, que cuente con los dispositivos de seguridad necesarios para evitar su remoción del vehículo en el que fue instalado.
2. Un dispositivo de transmisión de datos en cada GPS, el cual transmitirá en línea la información del recorrido y horario de cada camión recolector a la central de información de la persona prestadora.
3. Un dispositivo de reconocimiento e identificación en cada camión recolector (chip ibutton).
4. Un software de recepción y procesamiento de información de georreferenciación, que esté en capacidad de procesar dicha información para establecer si cada ruta de recolección de residuos sólidos no aprovechables se presta con la frecuencia y el horario establecido en el correspondiente contrato de condiciones uniformes (CCU).
5. Un computador con el software de georreferenciación instalado y con conexión a internet.
PARÁGRAFO. En los vehículos de recolección de residuos provenientes del barrido y limpieza, también se deberán instalar los dispositivos mencionados en este artículo.
ARTÍCULO 55. INDICADOR DE CALIDAD DE LA FRECUENCIA DE RECOLECCIÓN DE RESIDUOS SÓLIDOS NO APROVECHABLES (IFR_NAL). <Artículo integrado y unificado en el artículo 5.3.2.4.3.2 de la Resolución CRA 943 de 2021. Debe tenerse en cuenta lo dispuesto por el artículo 2.3.6.3.3.12 del Decreto 1077 de 2015> Cada persona prestadora deberá contabilizar por semana y APS, cuántas frecuencias de microrrutas dejó de prestar dentro del mes de análisis, en relación con el compromiso establecido en el CCU respectivo. Este indicador se calcula mediante la siguiente expresión:

Donde:
| IFR_NAl: | Indicador de calidad de la frecuencia de recolección de residuos sólidos no aprovechables para la microrruta de recolección analizada l, dentro del mes de análisis. |
| NRDls: | Número de frecuencias dejadas de prestar en la microrruta de recolección l, para cada semana s. En los casos en los que una semana pertenezca a dos meses diferentes, para el cálculo del indicador únicamente se contarán las microrrutas dejadas de prestar en los días que pertenecen al mes de análisis. |
| ndm: | Corresponde al número de días que posee el mes de análisis. |
| F_CCUl: | Frecuencia de recolección establecida en el Contrato de Condiciones Uniformes (CCU) para la microrruta de recolección l. |
| l: | Microrruta de recolección analizada. |
| s: | Corresponde a la semana del mes analizada. |
| nsm: | Corresponde al número de semanas calendario que posee el mes de análisis. Se contará una semana dentro de esta variable si por lo menos un día de la semana calendario analizada está dentro del mes analizado. |
PARÁGRAFO. Una frecuencia se contabilizará como dejada de prestar si la recolección de los residuos no aprovechables pertenecientes a la microrruta analizada no se llevó a cabo en su totalidad, es decir, si en el día establecido en el CCU no se recogieron los residuos sólidos no aprovechables de todos los suscriptores pertenecientes a la microrruta analizada.
ARTÍCULO 56. INDICADOR DE CALIDAD DEL HORARIO DE RECOLECCIÓN DE RESIDUOS SÓLIDOS NO APROVECHABLES (IHR_NAL). <Artículo integrado y unificado en el artículo 5.3.2.4.3.3 de la Resolución CRA 943 de 2021. Debe tenerse en cuenta lo dispuesto por el artículo 2.3.6.3.3.12 del Decreto 1077 de 2015> Cada persona prestadora deberá contabilizar a nivel semanal y por APS, cuántas frecuencias se prestaron con un retraso superior a tres (3) horas por cada macrorruta de recolección L, dentro del mes de análisis, en relación al compromiso establecido en el CCU respectivo. Este indicador se calcula mediante la siguiente expresión:
![]()
Donde:
| IHR_NAL: | Indicador de calidad del horario de recolección de residuos sólidos no aprovechables para la macrorruta de recolección analizada L, dentro del mes de análisis. |
| NRRLs: | Número de frecuencias prestadas con retraso superior a tres (3) horas en la macrorruta de recolección L, para cada semana s. Una frecuencia se catalogará con retraso no aceptado o superior a tres (3) horas si: |
![]()
Donde:
| HFCCU: | Hora final del horario de recolección que se estableció en el contrato de condiciones uniformes (CCU) para la macrorruta de recolección analizada L. |
| HFR: | Hora final real de la frecuencia analizada que pertenece a la macrorruta de recolección analizada L. |
| ndm: | Corresponde al número de días que posee el mes de análisis. |
| F_CCUL: | Frecuencia de recolección establecida en el contrato de condiciones uniformes (CCU) para la macrorruta de recolección L. |
| L: | Macrorruta de recolección analizada. |
| s: | Corresponde a la semana del mes analizada. |
| nsm: | Corresponde al número de semanas calendario parciales o completas que posee el mes de análisis. Se contará una semana dentro de esta variable si por lo menos un día de la semana calendario analizada está dentro del mes analizado. |
En los casos en los que una semana pertenezca a dos (2) meses diferentes, para el cálculo del indicador únicamente se contarán las frecuencias de las macrorrutas con retraso no aceptado que se presenten en los días que pertenecen al mes de análisis.
PARÁGRAFO. <Parágrafo adicionado por el artículo 4 de la Resolución 858 de 2018. El nuevo texto es el siguiente:> Se considera incumplido el horario en la macrorruta, cuando una frecuencia de la macrorruta presenta un retraso superior a tres (3) horas, con respecto a la hora de finalización establecida en el Programa de prestación del servicio y el CCU.
ARTÍCULO 57. INDICADOR DE CALIDAD TÉCNICA EN LA RECOLECCIÓN DE RESIDUOS SÓLIDOS NO APROVECHABLES (ICTR_NAl). <Artículo integrado y unificado en el artículo 5.3.2.4.3.4 de la Resolución CRA 943 de 2021. Debe tenerse en cuenta lo dispuesto por el artículo 2.3.6.3.3.12 del Decreto 1077 de 2015> <Artículo modificado por el artículo 5 de la Resolución 858 de 2018. El nuevo texto es el siguiente:> Indicador que mide la calidad global del servicio de recolección de residuos sólidos no aprovechables, teniendo en cuenta el incumplimiento de las frecuencias y los horarios de recolección de la persona prestadora, el cual se calcula mediante la siguiente expresión:

Donde:
| Corresponde a cada uno de los seis meses continuos analizados dentro del semestre de análisis y toma valores entre 1 y 6 hasta alcanzar el mes m | |
| Es el número del mes analizado dentro del semestre de estudio, que varía entre 1 y 6. | |
| Número de meses en el semestre de análisis que varía entre 1 y 6, en los que se prestó efectivamente el servicio público de aseo. | |
| Microrruta de recolección analizada. | |
| Indicador de calidad técnica en la recolección de residuos sólidos no aprovechables de la microrruta de recolección l | |
| Factor de ponderación de cada uno de los indicadores relacionados con el servicio de recolección de residuos sólidos no aprovechables. | |
| Indicador de frecuencia de recolección de residuos no aprovechables para la microrruta de recolección l de conformidad con lo dispuesto en el artículo 55 de la presente resolución. | |
| Indicador del horario de recolección de residuos no aprovechables para la microrruta de recolección l. El valor de este indicador para cada microrruta de recolección será igual al valor del indicador de la macrorruta a la cual pertenece |
PARÁGRAFO. Para los suscriptores aforados, el cálculo de los indicadores se realizará con base en las frecuencias y horarios de recolección acordadas entre las partes para estos suscriptores.
ARTÍCULO 58. INDICADOR DE INCUMPLIMIENTO DE RECLAMOS COMERCIALES POR FACTURACIÓN (IC_IRCF). <Artículo integrado y unificado en el artículo 5.3.2.4.3.5 de la Resolución CRA 943 de 2021. Debe tenerse en cuenta lo dispuesto por el artículo 2.3.6.3.3.12 del Decreto 1077 de 2015> <Artículo modificado por el artículo 6 de la Resolución 858 de 2018. El nuevo texto es el siguiente:> El indicador de incumplimiento de las metas de reclamos comerciales por facturación se define como:
![]()
Donde:
| Es el número del mes analizado dentro del semestre en estudio que varía entre 1 y 6. | |
| Es el índice de incumplimiento de reclamos comerciales por facturación, teniendo como referencia la meta establecida para el mes m dentro del semestre de análisis. El indicador que se debe tener en cuenta al finalizar el semestre de análisis para el 2 establecimiento de los descuentos respectivos, corresponde al calculado con el IRCF6 de cada semestre analizado. | |
| Es el índice de reclamos comerciales establecido como meta para el mes m del semestre de análisis, el cual se calcula de la siguiente forma: |

Donde:
| Es la meta de reclamos comerciales por facturación establecida a 31 de diciembre de cada año analizado j, la cual está expresada en número de reclamos comerciales por facturación resueltos a favor del suscriptor en segunda instancia y en firme la decisión, por cada mil (1.000) suscriptores por año. A los cinco (5) años de aplicación del presente marco tarifario, la persona prestadora deberá alcanzar el estándar de servicio de máximo cuatro (4) reclamos comerciales por facturación resueltos a favor del suscriptor en segunda instancia y en firme la decisión, por cada mil (1.000) suscriptores al año, que equivale a (2) reclamos por cada mil (1.000) suscriptores al semestre, para lo cual deberá definir metas anuales con el fin de alcanzarlo, las cuales deberán ser reportadas al SUI. | |
| Número de meses en el año calendario que varía entre 1 y 12, en los que se prestó efectivamente el servicio público de aseo. | |
| Es el índice de reclamos comerciales por facturación para el mes m dado en número de reclamos comerciales por facturación resueltos a favor del suscriptor en segunda instancia y en firme la decisión, por cada mil (1.000) suscriptores por m meses (al finalizar el semestre, dicho indicador se expresaría en número de reclamos comerciales por facturación resueltos a favor del suscriptor en segunda instancia y en firme la decisión, por cada mil (1.000) suscriptores por semestre). Este índice se determina mediante la siguiente expresión: |
![]()
Donde:
| Corresponde a cada uno de los seis meses continuos analizados dentro del semestre de análisis y toma valores entre 1 y 6 hasta alcanzar el mes m | |
| Total de reclamos comerciales por exactitud en la facturación, resueltos a favor del suscriptor en segunda instancia y en firme la decisión, durante el mes p perteneciente al semestre de análisis y radicados durante el periodo de la vigencia de la Resolución CRA 720 de 2015, el cual debe ser suministrado por cada persona prestadora y discriminado por cada APS. Únicamente se tendrán en cuenta las reclamaciones comerciales por facturación que surjan en virtud de la aplicación de la presente resolución. | |
| Factor de periodicidad en la facturación que equivale al número de meses dentro del ciclo de facturación. | |
| Promedio durante el período analizado del número total de suscriptores que posee la persona prestadora del servicio público de aseo en el APS analizada. Al finalizar el semestre de análisis, este parámetro deberá corresponder al promedio del total de suscriptores durante dicho semestre dentro del APS analizada. |
El
está expresado sobre una base de cálculo semestral, no obstante, la información correspondiente al
y al
deberán ser reportados para cada mes al SUI por cada persona prestadora y cada APS en las condiciones que establezca la Superintendencia de Servicios Públicos Domiciliarios.
ARTÍCULO 59. INDICADOR DE INCUMPLIMIENTO EN LA COMPACTACIÓN DEL RELLENO SANITARIO (IC_CRS). <Artículo integrado y unificado en el artículo 5.3.2.4.3.6 de la Resolución CRA 943 de 2021. Debe tenerse en cuenta lo dispuesto por el artículo 2.3.6.3.3.12 del Decreto 1077 de 2015> <Artículo modificado por el artículo 7 de la Resolución 858 de 2018. El nuevo texto es el siguiente:> Indicador que permite medir el incumplimiento en la compactación del relleno sanitario, el cual se calcula mediante la siguiente expresión:

Donde:
| Es el número del mes analizado dentro del semestre en estudio que varía entre 1 y 6. | |
| Es el índice de incumplimiento en la compactación del relleno sanitario, teniendo como referencia la meta establecida para el mes m dentro del semestre de análisis. El indicador que se debe tener en cuenta al finalizar el semestre de análisis para el establecimiento de los descuentos respectivos, corresponde al calculado con el | |
| Es la meta para el mes m del semestre de análisis, que corresponderá a la densidad de diseño del relleno sanitario (toneladas/m3). | |
| Es el índice de compactación del relleno sanitario, para el mes m dentro del semestre de análisis, dado en toneladas/m3, el cual se determina mediante la siguiente expresión: |

Donde:
| Corresponde a cada uno de los seis meses continuos analizados dentro del semestre de análisis y toma valores entre 1 y 6 hasta alcanzar el mes m | |
| Total de toneladas de residuos recibidas en el sitio de disposición final, durante el mes p, obtenida como la 4 sumatoria de las toneladas de residuos recibidas de todas las personas prestadoras del servicio de recolección y transporte durante el período de análisis (toneladas). | |
| Volumen total ocupado por residuos en las celdas activas durante lo transcurrido del semestre de análisis, medido con topografía al final del mes de análisis m (m3). | |
| Volumen total ocupado por residuos en las celdas activas durante lo transcurrido del semestre de análisis, medido con topografía al final del semestre anterior al semestre de análisis (m3). |
Los operadores de los rellenos sanitarios están en la obligación de suministrar mensualmente a las personas prestadoras del servicio de recolección y transporte y a la Superintendencia de Servicios Públicos Domiciliarios en las condiciones y medios que esta establezca, los parámetros
y el resultado del
. Así mismo, al finalizar el semestre de evaluación deberán reportar el
calculado.
El descuento por concepto de este indicador será asumido por la persona prestadora de disposición final, de conformidad con lo establecido en el parágrafo del artículo 62 de la presente resolución.
PARÁGRAFO 1o. Cuando la persona prestadora de recolección y transporte dispone residuos en más de un sitio de disposición final, el índice de incumplimiento deberá ser calculado por cada persona prestadora de disposición final k y reportado a la persona prestadora de recolección y transporte. Para efectos del establecimiento de los descuentos, el índice semestral de incumplimiento a aplicar en estos casos por parte de la persona prestadora de recolección y transporte, deberá calcularse de acuerdo con la siguiente fórmula:

Donde:
| Es el índice semestral de incumplimiento ponderado en la compactación de los rellenos sanitarios, teniendo como referencia las toneladas transportadas a cada uno de los sitios en donde se haga disposición final para el semestre de análisis. | |
| Es el índice semestral de incumplimiento en la compactación del relleno sanitario k, teniendo como referencia el indicador | |
| Total de toneladas de residuos transportadas por la persona prestadora del servicio de recolección y transporte al sitio de disposición final k, durante el semestre de análisis (toneladas). | |
| Número de sitios de disposición final en donde la persona prestadora del servicio de recolección y transporte dispone los residuos durante el semestre de análisis, donde k = {1,2,3,4, …, n}. |
PARÁGRAFO 2o. La topografía para medir los volúmenes ocupados por mes en cada relleno sanitario, debe desarrollarse entre el último día del mes analizado y el primer día del mes siguiente.
DE LOS DESCUENTOS ASOCIADOS A LOS INDICADORES DE CALIDAD DEL SERVICIO.
ARTÍCULO 60. VALOR DE DESCUENTO POR SUSCRIPTOR AFECTADO. <Artículo integrado y unificado en el artículo 5.3.2.4.4.1 de la Resolución CRA 943 de 2021. Debe tenerse en cuenta lo dispuesto por el artículo 2.3.6.3.3.12 del Decreto 1077 de 2015> <Artículo modificado por el artículo 8 de la Resolución 858 de 2018. El nuevo texto es el siguiente:> El valor de descuento por suscriptor afectado se determina con base en los indicadores de calidad contemplados para la formulación de los descuentos y tiene la siguiente forma:
![]()
Donde:
| Es el valor de descuento asociado al indicador analizado. | |
| Es el factor de reincidencia en el incumplimiento. Este factor tomará los siguientes valores dependiendo de la reincidencia en el incumplimiento por parte de la persona prestadora en evaluaciones semestrales consecutivas: |

| Valor del indicador asociado al descuento analizado que varía entre 0 y 1. | |
| Factor de descuento máximo asociado al descuento que se esté analizando. Este factor se obtiene con la siguiente expresión: |
Donde:
| Factor de remuneración asociado al costo que se esté analizando. | |
| Costo asociado al descuento que se esté analizando. | |
| Base de descuento asociada al indicador de calidad que se esté analizando y debe determinarse de manera específica dependiendo del suscriptor afectado. |
En todo caso, para el primer semestre de incumplimiento se aplicará un factor de reincidencia de 0,20.
En la siguiente tabla se presenta la nomenclatura y los valores que adquieren los parámetros de cálculo de la fórmula general del valor de descuento, dependiendo del descuento que se esté analizando y su correspondiente indicador de calidad.

Donde:
| Tipo de suscriptor. | |
| APS analizada. | |
| Microrruta de recolección analizada. | |
| Corresponde a cada uno de los seis meses continuos analizados dentro del semestre de análisis y toma valores entre 1 y 6. | |
| Suscriptor afectado i. | |
| Costo de Recolección y Transporte de residuos sólidos definido en el artículo 24 de la presente resolución. | |
| Costo de Comercialización por suscriptor definido en el artículo 14 de la presente resolución. | |
| Costo de Disposición Final por tonelada definido en el artículo 28 de la presente resolución. | |
| Toneladas de Residuos No Aprovechables por APSz, presentadas para su recolección por parte del suscriptor u que pertenece a la microrruta de recolección l, en el mes p, de acuerdo con lo establecido en el artículo 41 de la presente resolución. | |
| Toneladas de Residuos No Aprovechables aforadas por suscriptor i en el APS z, de la persona prestadora de recolección que pertenece a la microrruta de recolección l, en el mes p, de acuerdo con lo establecido en el artículo 41 de la presente resolución. | |
| Toneladas de residuos no aprovechables asociadas al suscriptor afectado i y producidas durante el mes p, que se emplearán para establecer los descuentos correspondientes. Con base en los parámetros definidos en el artículo 39 de la presente resolución y dependiendo de si el usuario tiene o no aforo, el valor de TDRS para cada suscriptor afectador i por mes p, se calculará de la siguiente forma: |
Si el usuario no tiene aforo:
![]()
Si el usuario tiene aforo:
![]()
ARTÍCULO 61. IDENTIFICACIÓN DE LOS SUSCRIPTORES AFECTADOS PARA EL RECONOCIMIENTO DE LOS DESCUENTOS CORRESPONDIENTES. <Artículo integrado y unificado en el artículo 5.3.2.4.4.2 de la Resolución CRA 943 de 2021. Debe tenerse en cuenta lo dispuesto por el artículo 2.3.6.3.3.12 del Decreto 1077 de 2015> <Artículo modificado por el artículo 9 de la Resolución 858 de 2018. El nuevo texto es el siguiente:> En el caso de los descuentos asociados al ICTR_NAl, los suscriptores afectados a los que se les debe reconocer los descuentos corresponden a aquellos a quienes la persona prestadora incumplió en por lo menos una (1) vez la frecuencia y/o el horario de su microrruta de recolección de residuos sólidos no aprovechables durante el semestre de análisis.
Los suscriptores afectados a los cuales se les debe reconocer los descuentos asociados al indicador IC_IRCF, siempre y cuando durante el semestre de análisis la persona prestadora haya incumplido la meta establecida para dicho período, corresponden a aquellos que presentaron reclamaciones comerciales por facturación, resueltos en segunda instancia y en firme la decisión, perteneciente al semestre de análisis y radicados durante el periodo de la vigencia de la Resolución CRA 720 de 2015, dentro del APS analizada.
Por su parte, los beneficiarios de los descuentos asociados al índice de incumplimiento IC_IRCF, son todos los suscriptores atendidos por la persona prestadora de la actividad de recolección y transporte. Se generarán descuentos por este concepto siempre y cuando si durante el semestre analizado alguno de los sitios de disposición final empleados por la persona prestadora incumple la meta de compactación establecida para ese período.
DEL TOTAL DE DESCUENTOS APLICABLES A CADA SUSCRIPTOR.
ARTÍCULO 62. DESCUENTO TOTAL APLICABLE AL SUSCRIPTOR AFECTADO DEL SERVICIO (D_TOTALI). <Artículo integrado y unificado en el artículo 5.3.2.4.5.1 de la Resolución CRA 943 de 2021. Debe tenerse en cuenta lo dispuesto por el artículo 2.3.6.3.3.12 del Decreto 1077 de 2015> El descuento total aplicable al suscriptor del servicio público de aseo afectado se calculará con la siguiente fórmula:
D_TOTALi=V_CTR_NAl+VRCF+V_CRS
Donde:
| D_TOTALi: | Es el descuento total aplicable al suscriptor i del servicio público de aseo afectado. |
| V_CTR_NAl: | Corresponde al valor del descuento correspondiente a la calidad técnica en la recolección de residuos sólidos no aprovechables, definido en el artículo 60 de la presente resolución. |
| V_RCF: | Corresponde al valor del descuento correspondiente a reclamos comerciales por facturación, definido en el artículo 60 de la presente resolución. |
| V_CRS: | Corresponde al valor del descuento correspondiente a la compactación en el relleno sanitario, definido en el artículo 59 de la presente resolución. |
Este descuento total deberá reflejarse en la factura como un menor valor por incumplimiento de las metas de calidad. Cada descuento deberá incluirse en la factura por separado. El valor total del descuento se restará del valor total de la factura, después de haber aplicado los subsidios y contribuciones a que haya lugar.
PARÁGRAFO. La persona prestadora de la actividad de recolección y transporte deberá descontar del pago a los operadores de los diferentes rellenos sanitarios que use, el monto total de los descuentos que se aplicaron a los suscriptores de acuerdo con la siguiente fórmula:
![]()
Donde:
| k: | Sitio de disposición final objeto de descuento. |
| VT_CRSk: | Valor total a descontar al relleno sanitario k, por parte de la persona prestadora de la actividad de recolección y transporte, basado en el comportamiento de la compactación durante el semestre analizado. |
| VT_CRSj: | Valor total descontado a los suscriptores por la persona prestadora de la actividad de recolección y transporte, asociado al comportamiento en la compactación de todos los rellenos sanitarios empleados durante el semestre analizado. Este parámetro se obtiene como la sumatoria del parámetro V_CRSde todos los suscriptores durante el semestre de análisis. |
| IC_CRS6k: | Es el índice semestral de incumplimiento en la compactación del relleno sanitario k, teniendo como referencia el indicador ICRS6 y la meta establecida para el semestre de análisis del respectivo relleno sanitario. |
| QRS6k: | Total de toneladas de residuos transportadas por la persona prestadora de la actividad de recolección y transporte al sitio de disposición final k, durante el semestre de análisis (toneladas). |
| ICP_CRS: | Es el índice semestral de incumplimiento ponderado en la compactación de los rellenos sanitarios, teniendo como referencia las toneladas transportadas a cada uno de los sitios de disposición final para el semestre de análisis. |
| QRS6j: | Total de toneladas de residuos dispuestas en todos los rellenos sanitarios por la persona prestadora de la actividad de recolección y transporte, durante el semestre de análisis (toneladas). |
ARTÍCULO 63. PLAZO PARA HACER EFECTIVOS LOS DESCUENTOS. <Artículo integrado y unificado en el artículo 5.3.2.4.5.2 de la Resolución CRA 943 de 2021. Debe tenerse en cuenta lo dispuesto por el artículo 2.3.6.3.3.12 del Decreto 1077 de 2015> <Artículo modificado por el artículo 10 de la Resolución 858 de 2018. El nuevo texto es el siguiente:> La persona prestadora cuenta con un plazo máximo de seis (6) meses para hacer efectivo el descuento total en la factura de los suscriptores afectados. Este plazo empezará a contar una vez finalice el semestre objeto de evaluación.
PARÁGRAFO 1o. En todo caso la persona prestadora al momento de hacer efectivos los descuentos, reconocerá a cada suscriptor afectado el descuento total pendiente con sus respectivos intereses corrientes a partir del segundo periodo de facturación del semestre de aplicación, los cuales se causarán de manera periódica a la tasa mensual que corresponda al momento de hacer efectivo el descuento, de conformidad con el periodo de facturación de la persona prestadora. La tasa aplicable corresponde al promedio de las tasas activas del mercado, que hace referencia al interés bancario corriente efectivo anual, para la modalidad de crédito de consumo y ordinario, certificado por la Superintendencia Financiera de Colombia o quien haga sus veces. El método de causación corresponderá al aplicado por las entidades financieras sobre las operaciones de sus productos financieros.
Una vez vencido el plazo para hacer efectivos los descuentos sin que la persona prestadora los haya efectuado, se causará a favor de cada suscriptor, el interés moratorio previsto en 8 el artículo 884 del Código de Comercio modificado por el artículo 111 de la Ley 510 de 1999.
PARÁGRAFO 2o. Todos los descuentos que se causaron con anterioridad al plazo que la Superintendencia de Servicios Públicos Domiciliarios establezca y habilite para el reporte de la información al Sistema Único de Información (SUI), deberán ser aplicados a más tardar el 31 de marzo de 2019 con sus respectivas actualizaciones utilizando el Índice de Precios al Consumidor (IPC).Una vez cumplido este plazo, sin que la persona prestadora los haya efectuado, se causará a favor de cada suscriptor el interés moratorio previsto en el artículo 884 del Código de Comercio modificado por el artículo 111 de la Ley 510 de 1999.
DE LAS DISPOSICIONES FINALES DEL TÍTULO DE LA CALIDAD DEL SERVICIO.
ARTÍCULO 64. VALOR DE LOS INDICADORES POR NO REPORTE DE INFORMACIÓN. <Artículo integrado y unificado en el artículo 5.3.2.4.6.1 de la Resolución CRA 943 de 2021. Debe tenerse en cuenta lo dispuesto por el artículo 2.3.6.3.3.12 del Decreto 1077 de 2015> <Artículo modificado por el artículo 11 de la Resolución 858 de 2018. El nuevo texto es el siguiente:> Cuando la persona prestadora no reporte los indicadores y descuentos asociados en el Sistema Único de Información (SUI), en las condiciones que establezca la Superintendencia de Servicios Públicos Domiciliarios, aplicará a todos los suscriptores en el APS analizada, el descuento correspondiente según lo dispuesto en el artículo 60 de la presente resolución, para lo cual el Frein y el indicador
corresponderán a 1.
Lo anterior sin perjuicio de las acciones a que haya lugar por parte de la Superintendencia de Servicios Públicos Domiciliarios.
PARÁGRAFO. El descuento por no reporte de información asociado al incumplimiento en la compactación del relleno sanitario, será asumido por la persona prestadora de disposición final, cuando no reporte el IC_CRS al finalizar el semestre de evaluación a la persona prestadora de recolección y transporte de residuos no aprovechables.
ARTÍCULO 65. COSTOS DE REFERENCIA PARA EL CÁLCULO DE LOS DESCUENTOS. <Artículo integrado y unificado en el artículo 5.3.2.4.6.2 de la Resolución CRA 943 de 2021. Debe tenerse en cuenta lo dispuesto por el artículo 2.3.6.3.3.12 del Decreto 1077 de 2015> <Artículo modificado por el artículo 12 de la Resolución 858 de 2018. El nuevo texto es el siguiente:> Para efectos del cálculo de los descuentos de que trata el presente Título, el costo de referencia será la tarifa para cada suscriptor tipo u y suscriptor aforado tipo i del Área de Prestación del Servicio para el semestre de análisis, antes de aplicar los porcentajes de subsidios y contribuciones.
PARÁGRAFO. En el evento que se presenten variaciones de la tarifa para cada suscriptor tipo u y suscriptor aforado tipo i durante el semestre de análisis, para el cálculo de los descuentos se utilizará el promedio de las tarifas, ponderado por los días de vigencia de cada una de ellas durante el período analizado.
ARTÍCULO 66. APLICACIÓN DE LOS DESCUENTOS ASOCIADOS A LA CALIDAD DEL SERVICIO. <Artículo integrado y unificado en el artículo 5.3.2.4.6.3 de la Resolución CRA 943 de 2021. Debe tenerse en cuenta lo dispuesto por el artículo 2.3.6.3.3.12 del Decreto 1077 de 2015> Los descuentos asociados a la calidad del servicio entrarán en vigencia una vez haya transcurrido el primer semestre calendario completo, tras la aplicación de la metodología, de acuerdo con lo establecido en el artículo 76 de la presente resolución.
PARÁGRAFO 1. Para el efecto, se entiende semestre calendario que transcurra completamente el período comprendido entre el 1 de enero y el 30 de junio, o entre el 1 de julio y el 31 de diciembre de un año.
PARÁGRAFO 2. La entrada en vigencia de los descuentos asociados a la calidad técnica del servicio de aseo dependerá de la segmentación definida en el artículo 5 de la presente resolución. Para el primer segmento, los descuentos asociados al cumplimiento de las metas de frecuencia y horario de recolección de residuos sólidos no aprovechables, entrarán en vigencia a partir de la medición que sobre esta materia se haga durante el segundo semestre calendario que transcurra completamente desde la aplicación de la metodología contenida en la presente resolución; mientras que para el segundo segmento, dichos descuentos entrarán en vigencia a partir de la medición efectuada durante el tercer semestre calendario que transcurra completamente desde el inicio de la aplicación del presente marco tarifario.
DISPOSICIONES FINALES.
ARTÍCULO 67. RUTAS DE RECOLECCIÓN. <Artículo integrado y unificado en el artículo 5.3.2.7.1 de la Resolución CRA 943 de 2021. Debe tenerse en cuenta lo dispuesto por el artículo 2.3.6.3.3.12 del Decreto 1077 de 2015> La recolección de residuos aprovechables y no aprovechables debe realizarse, según lo establecido en el PGIRS y en el Programa de Prestación del Servicio, lo cual deberá incluirse en el contrato de condiciones uniformes (CCU).
ARTÍCULO 68. REPORTE DE INFORMACIÓN. <Artículo integrado y unificado en el artículo 5.3.2.7.2 de la Resolución CRA 943 de 2021. Debe tenerse en cuenta lo dispuesto por el artículo 2.3.6.3.3.12 del Decreto 1077 de 2015> Las personas prestadoras deberán reportar la información requerida en la oportunidad y calidad establecidas en la presente resolución y en el esquema de reporte de información definido conjuntamente entre la Comisión de Regulación de Agua Potable y Saneamiento Básico y la Superintendencia de Servicios Públicos Domiciliarios. El incumplimiento a la presente disposición ocasionará las sanciones establecidas en la ley. En todo caso se debe presentar con separación de cuentas por municipio y/o distrito, APS y por cada uno de los elementos de costo del TITULO II de la presente resolución.
ARTÍCULO 69. SEGUIMIENTO DE LAS METAS PARA LOS INDICADORES. <Artículo integrado y unificado en el artículo 5.3.2.7.3 de la Resolución CRA 943 de 2021. Debe tenerse en cuenta lo dispuesto por el artículo 2.3.6.3.3.12 del Decreto 1077 de 2015> <Artículo modificado por el artículo 13 de la Resolución 858 de 2018. El nuevo texto es el siguiente:> El seguimiento al cumplimiento de las metas propuestas para cada uno de los indicadores de servicio y de calidad relacionados en el ANEXO III que hace parte integral de la presente resolución, se hará de acuerdo con la periodicidad que se establezca en el esquema de reporte de información definido por la Superintendencia de Servicios Públicos Domiciliarios y deberá realizarse bajo los siguientes aspectos:
Autocontrol: La persona prestadora deberá realizar un control mensual al cumplimiento de las metas en los indicadores.
Reporte de resultados: La persona prestadora deberá reportar los resultados, producto de su autocontrol, en el formato que se establezca en el esquema de reporte de información definido por la Superintendencia de Servicios Públicos Domiciliarios.
Publicación de los resultados reportados: La Superintendencia de Servicios Públicos Domiciliarios y la Comisión de Regulación de Agua y Saneamiento Básico harán públicos en sus páginas web los resultados del seguimiento a las metas para los indicadores de eficiencia y de servicio, con una periodicidad anual.
Para las metas cuyo resultado eficiente debe aumentar el indicador de cumplimiento será:
![]()
Cuando el resultado eficiente es disminuir el indicador se calculará:
![]()
PARÁGRAFO. Los indicadores que no puedan ser calculados por falta de reporte de información por parte de la persona prestadora, se entenderán como incumplidos, sin perjuicio de las acciones a que haya lugar por parte de la Superintendencia de Servicios Públicos Domiciliarios.
ARTÍCULO 70. VERIFICACIÓN DE CUMPLIMIENTO DE LOS INDICADORES. <Artículo integrado y unificado en el artículo 5.3.2.7.4 de la Resolución CRA 943 de 2021. Debe tenerse en cuenta lo dispuesto por el artículo 2.3.6.3.3.12 del Decreto 1077 de 2015> <Artículo modificado por el artículo 14 de la Resolución 858 de 2018. El nuevo texto es el siguiente:> De conformidad con lo establecido en el artículo 79 de la Ley 142 de 1994, corresponde a la Superintendencia de Servicios Públicos Domiciliarios efectuar las labores de inspección, vigilancia y control de los indicadores del servicio público de aseo.
ARTÍCULO 71. PROGRESIVIDAD EN LA APLICACIÓN DE LAS TARIFAS. <Artículo integrado y unificado en el artículo 5.3.2.7.5 de la Resolución CRA 943 de 2021. Debe tenerse en cuenta lo dispuesto por el artículo 2.3.6.3.3.12 del Decreto 1077 de 2015> En el evento en el cual las personas prestadoras pertenecientes al segundo segmento apliquen las tarifas resultantes de la metodología establecida en la presente resolución, sin los componentes de CLUS y aprovechamiento, y éstas sean superiores a las que cobra actualmente, el incremento será aplicado en dos (2) años contados a partir de la entrada en vigencia de la formula tarifaria contenida en la presente resolución, en montos iguales cada año.
Adicionalmente, las personas prestadoras de este segmento incorporarán la tarifa a cobrar por el Costo de Limpieza Urbana por Suscriptor (CLUS), de manera progresiva, en un plan mensual, cuyo plazo no supere tres (3) años, contados a partir de la entrada en vigencia de la fórmula tarifaria de la presente resolución. El incremento anual sobre la factura total por efecto del CLUS no podrá ser superior a dos (2) veces la meta de inflación en los primeros dos años en que se define el incremento.
PARÁGRAFO. <Parágrafo adicionado por el artículo 1 de la Resolución 822 de 2017. El nuevo texto es el siguiente:> Las personas prestadoras que atiendan en municipios del segundo segmento que hayan aplicado el primer inciso del presente artículo, podrán calcular los ingresos dejados de percibir durante esta progresividad e incluirlos en las tarifas a cobrar a los suscriptores. La inclusión en la tarifa tendrá lugar a partir del 1 de julio de 2018 y por un único plazo de 36 meses, es decir, hasta el 30 de junio de 2021.
Solo podrán llevar a cabo esta inclusión los prestadores que reporten la decisión de aplicar este parágrafo a la Superintendencia de Servicios Públicos Domiciliarios antes del 31 de mayo de 2018. El reporte a la Superintendencia deberá cumplir con los siguientes lineamientos:
1. Determinar el número de meses en los que se aplicó la progresividad, teniendo en cuenta que no podrá superar el mes de marzo de 2018.
2. Establecer la tarifa final por suscriptor tipo_u y aforados cobrada en los periodos de aplicación de la progresividad y la tarifa final por suscriptor tipo_u y aforados sin progresividad.
3. Calcular la diferencia tarifaria por suscriptor tipo_u y aforados antes de subsidios y contribuciones entre la tarifa cobrada y la tarifa calculada sin progresividad, ambas contenidas en el numeral anterior. Este cálculo se realizará por periodo de facturación, que puede ser mensual o bimestral, dependiendo del número de meses en los que se aplicó el incremento tarifario de la progresividad.
4. Estimar los ingresos dejados de percibir, multiplicando el promedio de suscriptores tipo_u y aforados del semestre inmediatamente anterior por la diferencia tarifaria semestral por suscriptor tipo_u y aforados, calculada en el numeral 3.
5. Indexar los ingresos dejados de percibir, que se encuentran a pesos corrientes de acuerdo con el periodo de facturación y el número de meses en los que se aplicó el incremento tarifario de la progresividad, a pesos entre diciembre de 2017 y marzo de 2018, dependiendo del mes en que haya terminado el ajuste tarifario por progresividad, utilizando el factor de actualización del Índice de Precios al Consumidor, IPC.
6. Sumar los valores resultantes del numeral 5 por suscriptor tipo_u y aforados y dividirlo por el último promedio de suscriptores del semestre inmediatamente anterior, es decir, de julio a diciembre de 2017.
7. Dividir los valores resultantes del numeral 6 en 36 meses.
8. Los valores que se obtengan del numeral 7 se aplicarán a las tarifas antes de subsidios y contribuciones a partir de julio de 2018 hasta el 30 de junio de 2021. Este valor incremental podrá ser objeto de actualización con el Índice de Precios al Consumidor, IPC de acuerdo con lo dispuesto en el artículo 125 de la Ley 142 de 1994 y en los parágrafos 2 y 3 del artículo 37 de la Resolución número CRA 720 de 2015, durante el tiempo en que se recuperen estos ingresos dejados de percibir.
Los suscriptores tipo u y aforados se encuentran establecidos en los factores de producción y aforos del artículo 42 de la Resolución número CRA 720 de 2015.
En el caso en el que las personas prestadoras decidan aplicar los lineamientos contenidos en este parágrafo deberán cumplir con lo determinado en la Sección 5.1.2 del Título V de la Resolución número CRA 151 de 2001 modificada por la Resolución número CRA 403 de 2006, en materia de información de las tarifas del servicio público de aseo a la Superintendencia de Servicios Públicos Domiciliarios y a los usuarios.
ARTÍCULO 72. REGULACIÓN DE LA COMPETENCIA. <Artículo integrado y unificado en el artículo 5.3.2.5.1 de la Resolución CRA 943 de 2021. Debe tenerse en cuenta lo dispuesto por el artículo 2.3.6.3.3.12 del Decreto 1077 de 2015> La Comisión elaborará en un plazo de máximo de un (1) año a partir de la entrada en vigencia de la presente resolución, los proyectos que se consideren necesarios para regular la competencia en el mercado, de acuerdo con las facultades de los artículos 73, 74 y 86 de la Ley 142 de 1994.
ARTÍCULO 73. MODIFICACIÓN DEL ARTÍCULO 1 DE LA RESOLUCIÓN CRA 351 DE 2005. <Consultar vigencia de este artículo directamente en el artículo que modifica> El artículo 1 de la Resolución CRA 351 de 2005 quedará así:
“Artículo 1o. Ámbito de aplicación. La presente resolución establece el régimen tarifario aplicable a las personas prestadoras del servicio público de aseo que atiendan en municipios de hasta 5.000 suscriptores en las áreas urbanas de los distritos y/o municipios, salvo las excepciones señaladas en el parágrafo 1o del artículo 87 de la Ley 142 de 1994.”
ARTÍCULO 74. MODIFICACIÓN DEL ARTÍCULO 1 DE LA RESOLUCIÓN CRA 352 DE 2005. <Consultar vigencia de este artículo directamente en el artículo que modifica> El artículo 1 de la Resolución CRA 352 de 2005 quedará así:
“Artículo 1o. Ámbito de aplicación. La presente resolución se aplica a las personas prestadoras del servicio público de aseo que atiendan en municipios de hasta 5.000 suscriptores en las áreas urbanas de los distritos y/o municipios, salvo las excepciones señaladas en el parágrafo 1o del artículo 87 de la Ley 142 de 1994.”
ARTÍCULO 75. MODIFICACIÓN DEL ARTÍCULO 1 DE LA RESOLUCIÓN CRA 482 DE 2009. <Consultar vigencia de este artículo directamente en el artículo que modifica> El artículo 1 de la Resolución CRA 482 de 2009 quedará así:
“Artículo 1o. Objeto. Establecer la metodología de cálculo de los descuentos en las tarifas de los usuarios, cuando las Entidades Públicas suscriban cualquier contrato o acuerdo con personas prestadoras del servicio público de aseo que atiendan en municipios de hasta 5.000 suscriptores en las áreas urbanas de los distritos y/o municipios, mediante los cuales se les aporten bienes o derechos, conforme lo estipula el artículo 143 de la Ley 1151 de 2007, que modificó el numeral 87.9 del artículo 87 de la Ley 142 de 1994.”
ARTÍCULO 76. VIGENCIA DE LA FÓRMULA TARIFARIA. <Artículo integrado y unificado en el artículo 5.3.2.7.6 de la Resolución CRA 943 de 2021. Debe tenerse en cuenta lo dispuesto por el artículo 2.3.6.3.3.12 del Decreto 1077 de 2015> <Artículo modificado por el artículo 1 de la Resolución 751 de 2016. El nuevo texto es el siguiente:> La fórmula tarifaria tendrá una vigencia de cinco (5) años contados a partir del 1o de abril de 2016, fecha máxima desde la cual comenzarán a aplicarse las tarifas resultantes de la metodología contenida en la presente resolución, e iniciará el cobro de las mismas a los suscriptores del servicio público de aseo.
PARÁGRAFO 1o. Cuando las entidades territoriales eleven solicitud de verificación de motivos para la inclusión de cláusulas de áreas de servicio exclusivo en los contratos de prestación del servicio público de aseo ante la Comisión de Regulación de Agua Potable y Saneamiento Básico (CRA), podrán dar aplicación inmediata a la metodología contenida en la presente Resolución.
Vencido el período de vigencia la fórmula tarifaria continuará rigiendo mientras la Comisión de Regulación de Agua Potable y Saneamiento Básico no fije una nueva.
ARTÍCULO 77. VIGENCIA Y DEROGATORIAS. La presente Resolución rige a partir de la fecha de su publicación en el Diario Oficial.
PARÁGRAFO. Las disposiciones contenidas en la Resolución CRA 429 de 2007, continuarán vigentes hasta la entrada en vigencia de las fórmulas tarifarias resultantes de la aplicación de la presente resolución.
Dada en Bogotá D.C. a los nueve (9) días del mes de julio de 2015.
Publíquese y cúmplase
MARIA CAROLINA CASTILLO AGUILAR
Presidente
JULIO CESAR AGUILERA WILCHES
Director Ejecutivo
MUNICIPIOS Y/O DISTRITOS A LOS QUE APLICA LA PRESENTE RESOLUCIÓN POR SEGMENTOS.
<Anexo integrado y unificado en el Anexo 6.3.2.1 de la Resolución CRA 943 de 2021. Debe tenerse en cuenta lo dispuesto por el artículo 2.3.6.3.3.12 del Decreto 1077 de 2015>
Tabla 1: Municipios y/o distritos en el segmento 1
| Municipio y/o distrito | Departamento |
| Armenia | Quindío |
| Barranquilla | Atlántico |
| Bello | Antioquia |
| Bogotá D.C. | Bogotá D.C. |
| Bucaramanga | Santander |
| Buenaventura | Valle del Cauca |
| Cali | Valle del Cauca |
| Cartagena | Bolívar |
| Cúcuta | Norte de Santander |
| Ibagué | Tolima |
| Manizales | Caldas |
| Medellín | Antioquia |
| Montería | Córdoba |
| Neiva | Huila |
| Pasto | Nariño |
| Pereira | Risaralda |
| Popayán | Cauca |
| Santa Marta | Magdalena |
| Sincelejo | Sucre |
| Soacha | Cundinamarca |
| Soledad | Atlántico |
| Tunja | Boyacá |
| Valledupar | Cesar |
| Villavicencio | Meta |
Tabla 2: Municipios y/o distritos en el segmento 2
| Municipio y/o distrito | Departamento | Municipio y/o distrito | Departamento |
| Acacias | Meta | Manaure | La Guajira |
| Aguachica | Cesar | Marinilla | Antioquia |
| Aguazul | Casanare | Mariquita | Tolima |
| Agustín Codazzi | Cesar | Melgar | Tolima |
| Andes | Antioquia | Miranda | Cauca |
| Anserma | Caldas | Mocoa | Putumayo |
| Apartadó | Antioquia | Mompós | Bolívar |
| Aracataca | Magdalena | Montelíbano | Córdoba |
| Arauca | Arauca | Montenegro | Quindío |
| Arjona | Bolívar | Mosquera | Cundinamarca |
| Ayapel | Córdoba | Ocaña | Norte de Santander |
| Baranoa | Atlántico | Orito | Putumayo |
| Barbosa | Antioquia | Palmar de Varela | Atlántico |
| Barrancabermeja | Santander | Palmira | Valle del Cauca |
| Bosconia | Cesar | Pamplona | Norte de Santander |
| Caicedonia | Valle del Cauca | Piedecuesta | Santander |
| Cajicá | Cundinamarca | Pitalito | Huila |
| Calarcá | Quindío | Planeta Rica | Córdoba |
| Caldas | Antioquia | Plato | Magdalena |
| Campoalegre | Huila | Pradera | Valle del Cauca |
| Candelaria | Valle del Cauca | Puerto Asís | Putumayo |
| Carepa | Antioquia | Puerto Berrío | Antioquia |
| Cartago | Valle del Cauca | Puerto Boyacá | Boyacá |
| Caucasia | Antioquia | Puerto Colombia | Atlántico |
| Cereté | Córdoba | Puerto López | Meta |
| Chaparral | Tolima | Puerto Tejada | Cauca |
| Chía | Cundinamarca | Quibdó | Chocó |
| Chigorodó | Antioquia | Quimbaya | Quindío |
| Chinchiná | Caldas | Riohacha | La Guajira |
| Chinú | Córdoba | Roldanillo | Valle del Cauca |
| Chiquinquirá | Boyacá | Sabanagrande | Atlántico |
| Ciénaga | Magdalena | Sabanalarga | Atlántico |
| Ciénaga de Oro | Córdoba | Sabaneta | Antioquia |
| Circasia | Quindío | Sahagún | Córdoba |
| Copacabana | Antioquia | San Andrés | Archipiélago de San Andrés |
| Corozal | Sucre | San Andrés de Tumaco | Nariño |
| Dosquebradas | Risaralda | San Gil | Santander |
| Duitama | Boyacá | San José del Guaviare | Guaviare |
| El Bagre | Antioquia | San Juan de Nepomuceno | Bolívar |
| El Banco | Magdalena | San Juan del Cesar | La Guajira |
| El Carmen de Bolívar | Bolívar | San Luis de Sincé | Sucre |
| El Carmen de Viboral | Antioquia | San Marcos | Sucre |
| El Cerrito | Valle del Cauca | San Martín | Meta |
| El Santuario | Antioquia | San Onofre | Sucre |
| Envigado | Antioquia | San Pablo | Bolívar |
| Espinal | Tolima | San Vicente del Caguán | Caquetá |
| Facatativá | Cundinamarca | Santa Rosa de Cabal | Risaralda |
| Flandes | Tolima | Santander de Quilichao | Cauca |
| Florencia | Caquetá | Santiago de Tolú | Sucre |
| Florida | Valle del Cauca | Santo Tomás | Atlántico |
| Floridablanca | Santander | Saravena | Arauca |
| Fundación | Magdalena | Segovia | Antioquia |
| Funza | Cundinamarca | Sevilla | Valle del Cauca |
| Fusagasugá | Cundinamarca | Sibaté | Cundinamarca |
| Galapa | Atlántico | Socorro | Santander |
| Municipio y/o distrito | Departamento | Municipio y/o distrito | Departamento |
| Garzón | Huila | Sogamoso | Boyacá |
| Girardot | Cundinamarca | Tarazá | Antioquia |
| Girardota | Antioquia | Tierralta | Córdoba |
| Girón | Santander | Tuluá | Valle del Cauca |
| Granada | Meta | Turbaco | Bolívar |
| Guadalajara de Buga | Valle del Cauca | Turbo | Antioquia |
| Honda | Tolima | Villa de San Diego de Ubaté | Cundinamarca |
| Ipiales | Nariño | Villa del Rosario | Norte de Santander |
| Itagüí | Antioquia | Villamaría | Caldas |
| Jamundí | Valle del Cauca | Yarumal | Antioquia |
| La Ceja | Antioquia | Yopal | Casanare |
| La Dorada | Caldas | Yumbo | Valle del Cauca |
| La Estrella | Antioquia | Zarzal | Valle del Cauca |
| La Plata | Huila | Zipaquirá | Cundinamarca |
| La Tebaida | Quindío | ||
| La Unión | Valle del Cauca | ||
| La Virginia | Risaralda | ||
| Leticia | Amazonas | ||
| Líbano | Tolima | ||
| Lorica | Córdoba | ||
| Los Patios | Norte de Santander | ||
| Madrid | Cundinamarca | ||
| Magangué | Bolívar | ||
| Maicao | La Guajira | ||
| Malambo | Atlántico | ||
Tabla 3: Municipios y/o distritos que aplican Factor de Salinidad
Costa Atlántica
| Departamento | Municipio y/o distrito |
| La Guajira | Riohacha |
| Dibulla | |
| Magdalena | Santa Marta |
| Ciénaga | |
| Puebloviejo | |
| Atlántico | Barranquilla |
| Baranoa | |
| Galapa | |
| Puerto Colombia | |
| Soledad | |
| Bolívar | Cartagena de Indias |
| Arjona | |
| Santa Rosa | |
| Turbaco | |
| Sucre | San Onofre |
| Córdoba | Moñitos |
| Puerto Escondido | |
| San Antero | |
| San Bernardo del Viento | |
| Antioquia | Arboletes |
| Necoclí | |
| San Juan de Urabá | |
| Turbo | |
Costa Pacífica
| Departamento | Municipio y/o distrito |
| Chocó | Alto Baudó (Pie de Pato) |
| Riosucio | |
| Valle del Cauca | Buenaventura |
| Cauca | Guapi |
| Timbiquí | |
| Nariño | El Charco |
| Tumaco | |
| Olaya Herrera | |
| San Andrés | San Andrés |
| Providencia | |
ESCENARIOS DE TRATAMIENTO DE LIXIVIADOS POR OBJETIVO DE CALIDAD REQUERIDO POR LA AUTORIDAD AMBIENTAL.
<Anexo integrado y unificado en el Anexo 6.3.2.2 de la Resolución CRA 943 de 2021. Debe tenerse en cuenta lo dispuesto por el artículo 2.3.6.3.3.12 del Decreto 1077 de 2015>
OBJETIVO DE CALIDAD
Remoción de contaminantes
Escenario 1
Sólidos suspendidos
Materia orgánica
Escenario 2
Sólidos suspendidos
Materia orgánica
Nitrógeno
Escenario 3
Sólidos suspendidos
Materia orgánica
Sustancias inorgánicas
Compuestos orgánicos
Escenario 4
Sólidos suspendidos
Materia orgánica
Nitrógeno
Sustancias inorgánicas
Compuestos orgánicos
Escenario 5
Recirculación
ESTÁNDARES DE CALIDAD TÉCNICA E INDICADORES DEL SERVICIO.
<Anexo integrado y unificado en el Anexo 6.3.2.3 de la Resolución CRA 943 de 2021. Debe tenerse en cuenta lo dispuesto por el artículo 2.3.6.3.3.12 del Decreto 1077 de 2015>
| Actividad | Indicador | Estándar de servicio | Meta a alcanzar y gradualidad |
| COBERTURA | 100% cobertura en el área urbana del municipio y/o distrito | Primer y segundo segmento | Primer año |
| RECOLECCIÓN | Calidad de la frecuencia de recolección de residuos sólidos no aprovechables | Frecuencia de recolección de residuos sólidos no aprovechables establecida en el respectivo Contrato de Condiciones Uniformes (CCU) para cada microrruta de recolección. | 100% del estándar desde la aplicación de la presente resolución. |
| Calidad del horario de recolección de residuos sólidos no aprovechables | Tiempo de duración de cada macrorruta de recolección de residuos sólidos no aprovechables establecido en el horario del respectivo Contrato de Condiciones Uniformes (CCU), más 3 horas adicionales. | 100% del estándar desde la aplicación de la presente resolución. | |
| Calidad en la recolección | Sin presencia de bolsas con residuos ordinarios después de realizada la actividad de recolección. | 100% del estándar desde la aplicación de la presente resolución. | |
| BARRIDO Y LIMPIEZA | Calidad en el barrido | Sin presencia de residuos y/o arenilla en las vías y áreas públicas, después de realizada la actividad de limpieza y barrido. | 100% del estándar desde la aplicación de la presente resolución. |
| DISPOSICIÓN FINAL | Compactación en el relleno sanitario | Densidad de compactación de los residuos adoptada en el diseño de cada relleno sanitario (toneladas/m3) | 100% del estándar desde la aplicación de la presente resolución. |
| COMERCIAL | Incumplimiento de reclamos comerciales por facturación | 4 reclamos comerciales por facturación resueltos a favor del suscriptor en segunda instancia por cada 1.000 suscriptores al año. | 100% del estándar a los 5 años con una gradualidad a discreción del prestador. |
TARIFA PARA LAS ACTIVIDADES DEL SERVICIO PÚBLICO DE ASEO.
<Anexo integrado y unificado en el Anexo 6.3.2.4 de la Resolución CRA 943 de 2021. Debe tenerse en cuenta lo dispuesto por el artículo 2.3.6.3.3.12 del Decreto 1077 de 2015>
El prestador deberá separar por actividades la tarifa final al suscriptor no aforado de la siguiente forma:
1. Tarifa para la actividad de comercialización:
TC=CCS
2. Tarifa para la actividad de Limpieza Urbana:
TLU=CLUS
3. Tarifa para la actividad de Barrido y Limpieza:
TBL=CBLS
4. Tarifa para la actividad de Recolección y Transporte:
![]()
5. Tarifa para la actividad de Disposición Final:
![]()
6. Tarifa para la actividad de Tratamiento de Lixiviados:
![]()
7. Tarifa para la actividad de Aprovechamiento:
![]()
En todo caso se debe cumplir que:

Donde:
| TC: | Tarifa para la actividad de Comercialización (pesos diciembre 2014/suscriptor). |
| TLU: | Tarifa para la actividad de Limpieza Urbana (pesos diciembre 2014/suscriptor). |
| TBL: | Tarifa para la actividad de Barrido y Limpieza (pesos diciembre 2014/suscriptor). |
| TRT: | Tarifa para la actividad de Recolección y Transporte (pesos diciembre 2014/suscriptor). |
| TDF: | Tarifa para la actividad de Disposición Final (pesos diciembre 2014/suscriptor). |
| TTL: | Tarifa para la actividad de Tratamiento de Lixiviados (pesos diciembre 2014/suscriptor). |
| TA: | Tarifa para la actividad de Aprovechamiento (pesos diciembre 2014/suscriptor). |
| CCS: | Costo de Comercialización por suscriptor definido en el artículo 14 de la presente resolución (pesos diciembre 2014/suscriptor-mes). |
| CLUS: | Costo de Limpieza Urbana por suscriptor definido en el artículo 15 de la presente resolución (pesos diciembre 2014/suscriptor-mes). |
| CBLS: | Costo de Barrido y Limpieza por suscriptor definido en el artículo 21 de la presente resolución (pesos diciembre 2014/suscriptor-mes). |
| CRT: | Costo Promedio de Recolección y Transporte del APS de la persona prestadora j en un mismo municipio y/o distrito definido en el artículo 24 de la presente resolución (pesos diciembre de 2014/tonelada). |
| CDF: | Costo Promedio de Disposición Final del APS de la persona prestadora k en un mismo municipio y/o distrito definido en el artículo 28 de la presente resolución (pesos diciembre de 2014/tonelada). |
| CTL: | Costo Promedio de Tratamiento de Lixiviados del APS de la persona prestadora k en un mismo municipio y/o distrito definido en el artículo 32 de la presente resolución (pesos diciembre de 2014/tonelada). |
| TRNAu,: | Toneladas de Residuos No Aprovechables por suscriptor u en el APS z, de la persona prestadora, de acuerdo con lo establecido en el artículo 41 de la presente resolución (toneladas/suscriptor-mes). |
| Toneladas de Barrido y Limpieza por suscriptor definidas en el artículo 40 de la presente resolución (toneladas/suscriptor-mes). | |
| Toneladas de Limpieza Urbana por suscriptor definidas en el artículo 40 de la presente resolución (toneladas/suscriptor-mes). | |
| Toneladas Efectivamente Aprovechadas por suscriptor definidas en el artículo 40 de la presente resolución (toneladas/suscriptor-mes) | |
| Toneladas de Rechazo del Aprovechamiento por suscriptor definidas en el artículo 40 de la presente resolución (toneladas/suscriptor-mes). | |
| TFSu,z: | Tarifa Final por suscriptor u, en el APS z, de la persona prestadora, definida el artículo 39 de la presente resolución (pesos diciembre 2014/suscriptor). |
| FCSu: | Factor de contribución o subsidio correspondiente a cada suscriptor, aplicable para el servicio público de aseo, determinado por estrato o tipo de uso de acuerdo con la normatividad aplicable. |
El prestador deberá separar por actividades la tarifa final al suscriptor aforado de la siguiente forma:
1. Tarifa para la actividad de comercialización:
TC=CCS
2. Tarifa para la actividad de Limpieza Urbana:
TLU=CLUS
3. Tarifa para la actividad de Barrido y Limpieza:
TBL=CBLS
4. Tarifa para la actividad de Recolección y Transporte:
![]()
5. Tarifa para la actividad de Disposición Final:
![]()
6. Tarifa para la actividad de Tratamiento de Lixiviados:
![]()
7. Tarifa para la actividad de Aprovechamiento:
![]()
En todo caso se debe cumplir que:
![]()
Donde:
| TC: | Tarifa para la actividad de Comercialización (pesos diciembre 2014/suscriptor). |
| TLU: | Tarifa para la actividad de Limpieza Urbana (pesos diciembre 2014/suscriptor). |
| TBL: | Tarifa para la actividad de Barrido y Limpieza (pesos diciembre 2014/suscriptor). |
| TRT: | Tarifa para la actividad de Recolección y Transporte (pesos diciembre 2014/suscriptor). |
| TDF: | Tarifa para la actividad de Disposición Final (pesos diciembre 2014/suscriptor). |
| TTL: | Tarifa para la actividad de Tratamiento de Lixiviados (pesos diciembre 2014/suscriptor). |
| CCS: | Costo de Comercialización por suscriptor definido en el artículo 14 de la presente resolución (pesos diciembre 2014/suscriptor-mes). |
| CLUS: | Costo de Limpieza Urbana por suscriptor definido en el artículo 15 de la presente resolución (pesos diciembre 2014/suscriptor-mes). |
| CBLS: | Costo de Barrido y Limpieza por suscriptor definido en el artículo 21 de la presente resolución (pesos diciembre 2014/suscriptor-mes). |
| CRT: | Costo Promedio de Recolección y Transporte del APS de la persona prestadora j en un mismo municipio y/o distrito definido en el artículo 24 de la presente resolución (pesos diciembre de 2014/tonelada). |
| CDF: | Costo Promedio de Disposición Final del APS de la persona prestadora k en un mismo municipio y/o distrito definido en el artículo 28 de la presente resolución (pesos diciembre de 2014/tonelada). |
| CTL: | Costo Promedio de Tratamiento de Lixiviados del APS de la persona prestadora k en un mismo municipio y/o distrito definido en el artículo 32 de la presente resolución (pesos diciembre de 2014/tonelada). |
| TAFNAi,: | Toneladas de Residuos No Aprovechables aforadas por suscriptor i, en el APS z de la persona prestadora, de acuerdo con lo establecido en el artículo 39 de la presente resolución (toneladas/suscriptor-mes). |
| Toneladas de Barrido y Limpieza por suscriptor definidas en el artículo 40 de la presente resolución (toneladas/suscriptor-mes). | |
| Toneladas de Limpieza Urbana por suscriptor definidas en el artículo 40 de la presente resolución (toneladas/suscriptor-mes). | |
| TAFAi,: | Toneladas de Residuos Aprovechables aforadas por suscriptor definidas en el artículo 40 de la presente resolución (toneladas/suscriptor-mes). |
| Toneladas de Rechazo del Aprovechamiento por suscriptor definidas en el artículo 40 de la presente resolución (toneladas/suscriptor-mes). | |
| TFSi,z: | Tarifa Final por suscriptor aforado i, en el APS z, de la persona prestadora, definida el artículo 39 de la presente resolución (pesos diciembre 2014/suscriptor). |
| FCSu: | Factor de contribución o subsidio correspondiente a cada suscriptor, aplicable para el servicio público de aseo, determinado por estrato o tipo de uso de acuerdo con la normatividad aplicable. |
METODOLOGIAS PARA EL CÁLCULO DEL FACTOR DE PRODUCTIVIDAD.
<Anexo integrado y unificado en el Anexo 6.3.2.5 de la Resolución CRA 943 de 2021. Debe tenerse en cuenta lo dispuesto por el artículo 2.3.6.3.3.12 del Decreto 1077 de 2015>
<Anexo modificado por el artículo 2 de la Resolución 912 de 2020. Consultar el nuevo texto directamente el artículo 2 de la Resolución 912 de 2020>
El texto original del Anexo V es el siguiente:
El factor de productividad utilizado en la actualización de los costos de referencia corresponderá a la productividad del sector de aseo. Dicho factor será calculado para la actividad de recolección y transporte la cual incluye barrido y limpieza, CLUS y comercialización y para disposición final que incluye tratamiento de lixiviados. Ambos serán calculados por la CRA utilizando dos metodologías de las cuales se escogerá el menor valor resultante para la actividad de recolección y transporte y para disposición final. Estos se multiplicarán por 0,5 para distribuir así las ganancias en productividad entre los prestadores y los usuarios. La primera metodología se basa en Fronteras Estocásticas de Costos y la segunda en Fronteras Estocásticas de Distancia de Insumos.
A continuación se describen las dos metodologías y se presenta la manera como se combinan los resultados de estas metodologías para establecer el factor de productividad aplicado anualmente a los prestadores de aseo.
1. METODOLOGÍA CON BASE EN FRONTERA ESTOCÁSTICA DE FUNCIONES DE COSTOS.
La metodología con base en frontera estocástica de funciones de costos se establece mediante dos pasos:
A. El primer paso corresponde a la estimación de una función de costos por prestador de la siguiente forma:

Donde:
| C: | Costos Totales del prestador de aseo. |
| t: | Tiempo, que corresponde a meses o años. |
| Término independiente de la ecuación. | |
| i,j : | Subíndice para insumos y productos diferentes. |
| Parámetros econométricos asociados a cada uno de los precios w de los insumos (se definen a continuación). | |
| w: | Precios de los Insumos; comprenden: |
| w1 : | Total de salarios mensuales por operador en la actividad de recolección y transporte, barrido y limpieza, CLUS y comercialización. |
| w2 : | Total de salarios mensuales por operador en la actividad de disposición final y tratamiento de lixiviados. |
| w3 : | Costo total mensual de dotación de trabajadores en la actividad de recolección y transporte, barrido y limpieza, CLUS y comercialización. |
| w4 : | Costo total mensual de dotación de trabajadores en la actividad de disposición final y tratamiento de lixiviados. |
| w5 : | Costo total mensual de consumos para la operación de capital en la actividad de recolección y transporte, barrido y limpieza, y CLUS. |
| w6 : | Costo total mensual de consumos para la operación de capital en la actividad de disposición final y tratamiento de lixiviados. |
| w7 : | Costos fijos mensuales del capital en la actividad de recolección y transporte, barrido y limpieza, y CLUS. |
| w8 : | Costos fijos mensuales del capital en la actividad de disposición final y tratamiento de lixiviados. |
| w9 : | Costo total mensual de gastos administrativos en la actividad de recolección y transporte, barrido y limpieza, CLUS y comercialización. |
| w10 : | Costo total mensual de gastos administrativos en la actividad de disposición final. |
| w11 : | Precio mensual del capital utilizado en la actividad de recolección y transporte, barrido y limpieza, CLUS y comercialización. |
| w12 : | Precio mensual de capital utilizado en la actividad de disposición final. |
| w13 : | Precio mensual de “otros insumos” utilizados en la actividad de recolección y transporte, barrido y limpieza, CLUS y comercialización. |
| w14 : | Precio mensual de “otros insumos” utilizados en la actividad de disposición final y tratamiento de lixiviados. |
| w15 : | Costo total mensual de clausura y posclausura. |
| Parámetros sobre efectos en costos por interacción de los diferentes precios de insumos del prestador de aseo. | |
| y: | Medición de los niveles de producción de los productos para prestadores de aseo, así: |
| y1 : | Promedio de toneladas de residuos recolectadas y transportadas en el área de servicio durante del semestre que corresponda. |
| y2: | Promedio de toneladas de residuos recibidas del semestre que corresponda. |
| Parámetros sobre efectos en costos del prestador de aseo por la interacción de sus productos. | |
| yij: | Parámetros sobre efectos en costos del prestador de aseo por la interacción de sus productos y los precios de los insumos. |
| v: | Término simétrico de error (distribución normal), que incluye ruidos en las variables del prestador de aseo por errores de medición o variables omitidas. |
| u: | Término asimétrico en la ecuación del prestador de aseo, no negativo (distribución normal truncada). Mide la distancia del costo de una empresa a la frontera de costos (mide la ineficiencia de la empresa)[2]. |
B. El segundo paso de la metodología con base en funciones estocásticas de costos es el cálculo del factor de productividad para cada prestador de aseo.
El Objetivo de la estimación de la frontera estocástica es el análisis de la ineficiencia ui de cada prestador de aseo respecto a la frontera de costos.
Esta medida es observada indirectamente, puesto que el modelo especifica ei = vi – ui. Además, los distintos parámetros son estocásticos y hay incertidumbre en la estimación de ui. Así, la estimación de un valor único de ui puede ser insuficiente.
El estimador estándar de ui, para un modelo exponencial, es la función de media condicional
:
![]()
El cálculo del modelo exponencial es arrojado por el software que se utilizará en las estimaciones.
C. El tercer paso es el cálculo del factor de productividad para el sector en un año, el cual será igual al promedio de los factores de ineficiencia en costos de los prestadores de aseo.
D. Finalmente, el factor de productividad del sector FPM1 se establece con los factores de productividad de dos años, así:
FPM1 = Diferencia de los factores de productividad del sector para dos períodos.
Fuente de información: La CRA utilizará mensualmente la información del formulario que será diligenciado cada cuatro meses por los prestadores de servicios de aseo.
Las variables definidas en las secciones anteriores tienen las siguientes definiciones:
Tabla 1
Variables requeridas para la estimación del Factor de Productividad con base en costos
| VARIABLES | CORRESPONDE A |
| Nivel de producción y de los siguientes productos para los prestadores de aseo | y1 :Promedio de toneladas de residuos recolectadas y transportadas en el área de servicio durante los últimos del semestre que corresponda. |
| y2: Promedio de toneladas de residuos recibidas, del semestre que corresponda. | |
| Costos Totales (C) | Costo de operación, gastos de administración y otros gastos. |
| Precios unitarios de los insumos | w1: Salarios unitarios en cada mes para trabajadores de recolección y transporte, barrido y limpieza, CLUS y comercialización. Incluye: conductores, supervisores, recolectores, escobitas, personal de mantenimiento, personal administrativo y personal de estaciones de transferencia, personal de CLUS y personal en comercialización. |
| w2: Salarios unitarios en cada mes para trabajadores de Disposición Final y tratamiento de lixiviados. Incluye: conductores, operador buldócer D6 o similar, operador buldócer D8 o similar, operador compactador patecabra para residuos sólidos 836 G o similar, orientador, supervisores, operador de báscula, operador retrocargador 416 D o similar, operador volqueta doble viaje, operador mantenimiento de vías, personal administrativo, personal de mantenimiento y limpieza, ingeniero residente y topógrafo permanente, y personal de tratamiento de lixiviados. | |
| w3: Costo total de dotación de trabajadores en la actividad de recolección y transporte, barrido y limpieza, CLUS y comercialización. | |
| w4: Costo total de dotación de trabajadores en la actividad de disposición final y tratamiento de lixiviados. | |
| w5: Costo total mensual de consumos para la operación de capital en la actividad de recolección y transporte, barrido y limpieza, CLUS y comercialización. Incluye: ACPM, gasolina, consumo de lubricantes, consumo de filtros, mantenimiento y reparaciones, lavado y engrase, consumo de llantas. | |
| w6: Costo total mensual de consumos para la operación de capital en la actividad de disposición final y tratamiento de lixiviados. Incluye: ACPM, gasolina, consumo de lubricantes, consumo de filtros, mantenimiento y reparaciones, lavado y engrase, consumo de llantas e imprevistos. | |
| w7: Costos fijos mensuales del capital en la actividad de recolección y transporte, barrido y limpieza, CLUS y comercialización. Incluye: estacionamientos, impuestos, seguros, comunicaciones, revisión técnico mecánica. | |
| w8: Costos fijos mensuales del capital en la actividad de disposición final. Incluye: impuestos, seguros, comunicaciones, revisión técnico mecánica. | |
| w9: Costo total mensual de gastos administrativos para la actividad de recolección y transporte barrido y limpieza, CLUS y comercialización. Incluye: inmuebles para administración y otros gastos administrativos (computadores y software, servicios públicos, contribuciones a la CRA y comunicaciones). | |
| w10: Costo total mensual de gastos administrativos. Incluye: inmuebles para administración y otros gastos administrativos (computadores y software, servicios públicos, contribuciones a la CRA y comunicaciones). | |
| w11: Precio mensual del capital en la actividad de recolección y transporte, barrido y limpieza, CLUS y comercialización. Incluye: volquetas, camiones, motocicletas, compactadores, barredora mecánica, equipos menores, vehículos asignados a administración, vehículos para el transporte de operarios, tractocamiones, báscula de estación de transferencia, hidrolavadora de estación de transferencia y carrotanque estación de transferencia. | |
| w12: Precio mensual del capital en la actividad de disposición final. Incluye: buldócer D6 R o similar, buldócer D8 T o similar, compactador patecabra para residuos sólidos 836 G o similar, volqueta doble viaje, retroexcavadora, retrocargador y equipos menores. | |
| w13: Precio mensual de “otros insumos” utilizados en la actividad de Recolección y Transporte, barrido y limpieza, CLUS y comercialización. | |
| w14: Precio mensual de otros insumos utilizados en la actividad de disposición final y tratamiento de lixiviados. Incluye geomembrana, cierre de celdas y tren de tratamiento de referencia. | |
| w15: Costo total mensual de clausura y posclausura. | |
2. METODOLOGÍA CON BASE EN FUNCIONES DE DISTANCIA DE INSUMOS.
La metodología con base en funciones de distancia de insumos se establece de acuerdo con los siguientes pasos:
A. El primer paso en esta metodología corresponde a la estimación de una función de distancia de insumos por prestador de aseo.
La ecuación correspondiente establece cómo las cantidades de un insumo están relacionadas con otros insumos y con los niveles de los productos de un prestador, para establecer posteriormente distancias respecto de una frontera eficiente de utilización del insumo. La función de distancia tiene la siguiente forma:
![]()
Donde:
| Término independiente de la ecuación. | |
| y: | Medición de cantidades de los siguientes productos del prestador de aseo. |
| y1 : | Promedio de toneladas de residuos recolectadas y transportadas en el área de servicio del semestre que corresponda. |
| y2 : | Promedio de toneladas de residuos recibidas del semestre que corresponda. |
| Parámetros que miden los efectos de distintos niveles de producción de los productos del prestador de aseo sobre la utilización del factor x1. | |
| Parámetros asociados al efecto de la interacción de los productos del prestador de aseo sobre el factor x1; (estos parámetros miden economías de escala en la empresa). | |
| m,n: | Producto del prestador de aseo (toneladas de residuos sólidos recolectados y toneladas de residuos dispuestos). |
| x: | Información de cantidades de los otros insumos xdel prestador de aseo. |
| x1: | Cantidad del insumo de trabajo utilizado en la empresa de recolección y transporte y barrido y limpieza, de disposición final, o de las dos actividades, dependiendo de si la empresa es uniproducto o multiproducto. |
| x2: | Medición del capital utilizado en la actividad de recolección y transporte, barrido y limpieza, CLUS y comercialización. |
| x3: | Medición del capital utilizado por mes en la actividad de disposición final. |
| x4: | Medición de "otros insumos" utilizados por mes en la actividad de recolección y transporte, barrido y limpieza, CLUS y comercialización. |
| x5: | Medición de "otros insumos" utilizados por mes en la actividad de disposición final y tratamiento de lixiviados. |
| Parámetros asociados a la utilización de insumos del prestador de aseo diferentes a trabajo. | |
| Parámetros asociados a la interacción entre los distintos insumos del prestador de aseo. | |
| k: | Insumos que comprenden trabajo, capital, y otros. |
| l: | Insumo trabajo. |
| Parámetros asociados a la interacción entre insumos y productos del prestador de aseo. | |
| v: | Término de error simétrico (distribución normal) en la ecuación del prestador de aseo, que incluye ruido en la ecuación por errores de medición, variables omitidas. |
| u: | Término de error asimétrico no negativo (distribución normal truncada) para incluir ineficiencia técnica. |
B. El segundo paso de la metodología con base en funciones estocásticas de distancia es el cálculo del factor de productividad para cada empresa.
El objetivo de la estimación de la frontera estocástica es el análisis de la ineficiencia ui de cada prestador de aseo respecto a la frontera de utilización de insumos.
Esta medida es observada indirectamente, puesto que el modelo especifica ei = vi – ui. Además, los parámetros son estocásticos y con incertidumbre en la estimación de ui. En este caso la estimación de un valor único de ui puede ser insuficiente.
El estimador estándar de ui, es la función de media condicional
:
![]()
El cálculo para el modelo exponencial es arrojado por el software que se utilizará en las estimaciones.
C. El tercer paso es el cálculo del factor de productividad para el sector en un año, el cual será igual al promedio de los factores de ineficiencia de los prestadores.
D. Finalmente el factor de productividad del sector FPM2 se establece con los factores de productividad con base en utilización de insumos de dos años, así:
FPM2 = Diferencia de los factores de productividad del sector en la utilización de insumos, para dos períodos.
Fuente de información: La CRA utilizará mensualmente la información del formulario del presente anexo que será diligenciado mensualmente por los prestadores de servicios de aseo.
Las variables definidas en las secciones anteriores tienen las siguientes definiciones:
Tabla 2
Variables requeridas para la estimación del Factor de Productividad con base en Tecnología
| VARIABLES | CORRESPONDE A |
| Medición de cantidades de los productos ydel prestador | y1 :Promedio de toneladas de residuos recolectadas y transportadas en el área de servicio del semestre que corresponda. |
| y2 : Promedio de toneladas de residuos recibidas del semestre que corresponda en toneladas/mes | |
| Medición de las cantidades de insumos xdiferentes a trabajo que son utilizados para prestar los servicios de recolección y transporte, barrido y limpieza y disposición final. | x1: Cantidad de trabajadores utilizados cada mes por el prestador para prestar los servicios de recolección y transporte, barrido y limpieza, CLUS y comercialización. Incluye: conductores, supervisores, recolectores, escobitas, personal de mantenimiento, personal administrativo, personal de estaciones de transferencia, personal de CLUS y personal de comercialización. |
| x1: Cantidad de trabajadores utilizados cada mes por el prestador para prestar los servicios de disposición final y tratamiento de lixiviados. Incluye: conductores, operador buldócer similar, operador buldócer D8 o similar, operador compactador patecabra para residuos sólidos 836 G o similar, orientador, supervisores, operador de báscula, operador retrocargador 416 D o similar, operador volqueta doble viaje, operador mantenimiento de vías, personal administrativo, personal de mantenimiento y limpieza, ingeniero residente, topógrafo permanente y otros. | |
| x2: Medición del capital utilizado por mes en la actividad de recolección y transporte, barrido y limpieza, CLUS y comercialización. Incluye: volquetas, camiones, motocicletas, compactadores, barredora mecánica, equipos menores, vehículos asignados a administración, vehículos para el transporte de operarios, tractocamiones, báscula de estación de transferencia, hidrolavadora y carrotanque. | |
| x3: Medición del capital utilizado por mes en la actividad de disposición final. Incluye: buldócer D6 R, buldócer D8 T o similar, compactador patecabra para residuos sólidos 836 G o similar, volqueta doble viaje, retroexcavadora, retrocargador y equipos menores. | |
| x4: Medición de cantidad de combustible (gasolina y ACPM), lubricantes, llantas y filtros utilizados, por mes, en la actividad de recolección y transporte y barrido y limpieza. | |
| x5: Medición de cantidad de otros insumos en la actividad de disposición final y tratamiento de lixiviados: predio, geomembrana, cierre de celdas y tren de tratamiento. | |
3. FACTOR DE PRODUCTIVIDAD PARA EL SECTOR DE ASEO.
Obtenidas las mediciones FPM1 y FPM2 siguiendo las metodologías explicadas en los dos capítulos anteriores, se combinan de la siguiente manera:

Donde:
| x1: | Factor de productividad para la actividad de recolección y transporte que incluye barrido y limpieza, CLUS y comercialización. |
| x2: | Factor de productividad para la actividad de disposición final y tratamiento de lixiviados. |
| FPM1: | Metodología de Frontera Estocástica de Funciones de Costos. |
| FPM2: | Metodología de Función Estocástica de Distancia de Insumos. |
| 50%: | Factor de distribución del incremento de productividad entre prestadores de aseo y usuarios de estas actividades. |
El uso de los resultados de ambas metodologías ha sido la opción escogida frente a la de hacer las estimaciones utilizando solo una de las metodologías disponibles en la literatura sobre mediciones de productividad. Con los dos resultados se tendrá un elemento para establecer consistencia de resultados independientemente de la metodología que se haya seguido.
El porcentaje 50% significa que las ganancias en productividad se reparten entre los prestadores de aseo y sus usuarios, siguiendo la línea de la Regulación establecida para el servicio público de aseo.
A continuación se presentan los dos formularios que los prestadores deberán diligenciar cada trimestre vencido, para lo cual tienen un plazo de un mes que corresponde al mes siguiente de vencido el trimestre.
Tabla 3
Formularios- Información Factor de Productividad FPM
FORMULARIO No 1.
FACTOR DE PRODUCTIVIDAD PARA EL SERVICIO PÚBLICO DOMICILIARIO DE ASEO

Nota: Aquellos prestadores cuyas actividades sean tercerizadas deben diligenciar el formulario igualmente con la información solicitada. Así mismo, la información requerida en este formulario debe ser cargada al SUI.
FORMULARIO No. 2
FACTOR DE PRODUCTIVIDAD PARA EL SERVICIO PÚBLICO DOMICILIARIO DE ASEO

Nota: Aquellos prestadores cuyas actividades sean tercerizadas deben diligenciar el formulario igualmente con la información solicitada. Así mismo, la información requerida en este formulario debe ser cargada al SUI.
<Anexo integrado y unificado en el Anexo 6.3.2.6 de la Resolución CRA 943 de 2021. Debe tenerse en cuenta lo dispuesto por el artículo 2.3.6.3.3.12 del Decreto 1077 de 2015>
<Anexo adicionado por el artículo 2 de la Resolución 942 de 2021. El nuevo texto es el siguiente:>
Áreas de Prestación del Servicio (APS) y Personas Prestadoras que reportaron durante el año 2020 la información completa del Anexo V de la Resolución CRA 720 de 2015***




*** Las personas prestadoras que únicamente reportaron información de su(s) respectiva(s) APS para un año no estan incluidas en este anexo dado que no cumplieron con la condición de reportar la totalidad de información para los años correspondientes.
* * *
NOTAS AL FINAL:
1. “Por medio del cual se expide el Decreto Único Reglamentario del Sector Vivienda, Ciudad y Territorio”.
2. En el paquete econométrico Stata, para guardar y se utiliza el comando "predict nombre_variable, resid".