RESOLUCIÓN 3975 DE 2007
(octubre 31)
Diario Oficial No. 46.799 de 1 de noviembre de 2007
MINISTERIO DE LA PROTECCIÓN SOCIAL
Por la cual se da cumplimiento a unas instrucciones de la Procuraduría General de la Nación.
CONSIDERANDO:
Que mediante Instructivo número 22 del 26 de septiembre de 2007, recibido en el Ministerio de la Protección Social el 4 de octubre de 2007, la Procuraduría General de la Nación ordenó a este Ministerio tomar unas medidas en materia del pago integrado de liquidación de aportes que había sido regulado entre otros mediante los Decretos 1464 y 1465 de 2005, 1931 de 2006, 1670 de 2007 y 3085 de 2007;
Que en dicho instructivo la Procuraduría ordena ajustar el proceso de pago integrado de manera progresiva para que se permita a los trabajadores independientes y pequeños aportantes que aún no han cumplido con su obligación de utilizar la Planilla Integrada de Liquidación de Aportes por motivos atendibles, excepciones razonables o casos fortuitos y de fuerza mayor, continuar utilizando otros mecanismos de pago y que se definan claramente las responsabilidades de cada uno en el manejo de la información,
RESUELVE:
ARTÍCULO 1o. Para impedir el rechazo de las cotizaciones que pagan a todos los subsistemas del Sistema de la Protección Social los trabajadores independientes y los pequeños aportantes, que aún carecen de afiliación a alguno de los subsistemas a los que de conformidad con la ley se encuentran obligados a afiliarse, así como de quienes por razones atendibles, excepciones razonables o motivos de caso fortuito o fuerza mayor, aún no han cumplido con su obligación de registrarse y realizar sus pagos a través de la Planilla Integrada de Liquidación de Aportes, en sus modalidades electrónica o asistida, se otorga un plazo adicional para cumplir sus obligaciones referentes al mecanismo de autoliquidación y pago de aportes parafiscales hasta el primero de marzo de 2008.
Para efectos de que estas obligaciones se cumplan de manera transparente, eficaz y progresiva se podrá recibir el pago mediante los formularios desintegrados en papel, vigentes con anterioridad al 14 de mayo de 2007, siempre y cuando las administradoras a través de sus redes de recaudo verifiquen que cada aportante o cotizante se encuentra en alguna de las situaciones descritas en el inciso anterior, lo cual se podrá hacer mediante la comprobación de que el pago efectuado en el mes inmediatamente anterior fue realizado utilizando los mecanismos de autoliquidación y pago desintegrados.
Igual procedimiento se surtirá respecto de aquellos cotizantes y aportantes que a la fecha en la cual comenzaron a utilizar la Planilla Integrada de Liquidación de Aportes, presentan un retraso en el pago de aportes a alguno de los subsistemas; ello, para permitir el pago desintegrado de tales aportes atrasados, correspondientes a períodos anteriores al mes de inicio de vigencia de la presente resolución. En este caso se deberá verificar que en efecto se realizaron los pagos correspondientes a los otros subsistemas a los que se encontraba obligado el aportante o cotizante.
PARÁGRAFO. De conformidad con lo previsto en el artículo 3o del Decreto 1670 de 2007, para estos efectos se consideran pequeños aportantes quienes cuenten con menos de 20 cotizantes.
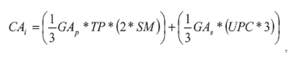
ARTÍCULO 2o. COSTO DE LA ASISTENCIA. Para evitar que el costo de la asistencia que se brinda a los trabajadores independientes y a los pequeños aportantes para cumplir con su obligación de suministrar al Sistema de la Protección Social la información clara, veraz y completa, se convierta en una barrera que impida el acceso de estos grupos de población al esquema de pago contenido en las normas que regulan la Planilla Integrada de Liquidación de Aportes en su modalidad asistida, de conformidad con lo previsto en el numeral 3.4 del artículo 2o del Decreto 1931 de 2007, que sustituyó el artículo 3o del Decreto 1465 de 2007, la tarifa convenida entre los operadores de información y las administradoras, para el pago de los registros de información enviados a cada Administradora y asumidos por esta, incluirá el costo de la asistencia brindada, que debe responder a criterios objetivos del proceso, mismo que se dividirá entre tantas administradoras como aquellas que perciben el aporte y, que en todo caso, será calculado así:
– Para trabajadores independientes no podrá exceder el resultado de aplicar la siguiente fórmula:

Donde,
| CAi | = Costo de la Asistencia para trabajadores independientes. |
| GAp | = Gastos de Administración en Pensiones definido por las normas vigentes. |
| TP | = Tarifa de Cotización en Pensiones. |
| SM | = Salario Mínimo Legal Mensual Vigente. |
| GAs | = Gastos de Administración del Subsistema de Salud. |
| UPC | = Valor mensualizado de la UPC promedio para el Régimen Contributivo en Salud. |
– Para pequeños aportantes se regirá por la siguiente fórmula:
![]()
Donde,
| CAp | = Costo de la asistencia para pequeños aportantes. |
| Cf | = Comisión de Recaudo de otros parafiscales. |
| R | = Recaudo por concepto de otros parafiscales. |
ARTÍCULO 3o. TRANSACCIONES FINANCIERAS.
<Inciso 1o. modificado y 2o. adicionado por el artículo 2 de la Resolución 2733 de 2008. El nuevo texto es el siguiente:> Las administradoras de los subsistemas que conforman el Sistema de la Protección Social, deben asumir los valores de las transacciones financieras que se generen en la recaudación de los aportes a cada uno de los subsistemas, mediante la suscripción o modificación de los convenios a que hubiere lugar.
En los eventos de Planilla Asistida, en los cuales las administradoras no hubieren suscrito los convenios correspondientes o modificado los que con anterioridad existían para este efecto, deberán hacerlo, sin que la ausencia de tal convenio pueda entenderse como una exoneración de su obligación de asumir este valor, el cual, en ausencia de acuerdo expreso, será el correspondiente a su costo, que se ha definido como el equivalente al 5 por mil del valor de un salario mínimo legal mensual, valor mínimo del ingreso base de cotización aplicable a cualquiera de los subsistemas de que se trate.
El costo que por cada planilla demande el medio físico mediante el cual se recaudan los aportes de la planilla asistida, será asumido por el operador de información, quien podrá trasladarlo dividiendo su valor entre el número de administradoras que se benefician de los aportes recaudados.
ARTÍCULO 4o. RESPONSABILIDADES. De conformidad con lo previsto en la Ley 100 de 1993 y en los Decretos 1465 de 2005 y 1931 de 2006, se reitera que las responsabilidades de los actores involucrados en la autoliquidación y pago de aportes a través de la Planilla Integrada de Liquidación de Aportes, son las previstas en cada uno de los subsistemas, que se resumen así:
Aportantes y cotizantes:
– Entregar a las administradoras toda la información que se requiere para establecer el monto de sus aportes de manera clara, veraz y completa.
– Presentar sus autoliquidaciones y efectuar sus pagos en las fechas previstas para el efecto y en las condiciones de modo, tiempo y lugar establecidos en las normas que regulan la recaudación de aportes.
Administradoras:
– Contar con un sistema de información que les permita verificar la oportunidad e idoneidad de los pagos efectuados por los aportantes y cotizantes.
– Verificar periódicamente, en forma individual o conjunta, que el o los operadores contratados por cada una ejecuten sus funciones en las condiciones de calidad, seguridad, oportunidad y confidencialidad previstas en los Decretos 1465 de 2005 y 1931 de 2006 y que cumplan con los parámetros que en ese sentido definan en los convenios que suscriban con los operadores.
– Emitir a favor de los aportantes una certificación de su pago, digitalmente certificada, en la que conste, entre otros aspectos, el valor del pago recibido, el detalle de los cotizantes en cada planilla recibida y la fecha en la cual se recibió.
– Verificar la conformidad de los aportes recibidos con la información a la que corresponde.
– Informar y mantener actualizada la información que corresponde respecto a las cuentas recaudadoras.
–Suscribir los convenios que correspondan con los operadores de información y con las entidades financieras, los cuales deben contener de manera expresa las responsabilidades que tocan a cada una de estas partes en el sistema de planilla integrada de liquidación de aportes, sin que en ello se puedan prever condiciones que atenten contra los intereses de los afiliados o aportantes.
Operadores de Información:
– Suministrar a los aportantes y cotizantes el acceso a la Planilla Integrada de Liquidación de Aportes, tanto en su modalidad electrónica como asistida y a los procesos de registro.
– Permitir al Aportante el ingreso de los conceptos detallados de pagos, así como su modificación o ajuste previo a su envío.
– Aplicar las reglas de validación y generar los informes con las inconsistencias encontradas, así como contar con una validación respecto de los elementos propios del pago y solicitar autorización para efectuar la transacción financiera.
– Suscribir los convenios correspondientes con las administradoras que hubieren elegido su servicio y con las entidades financieras.
– Generar los archivos de salida para los actores del Sistema.
– Mantener la conexión con la (las) Institución(es) Financiera(s) y/o los Sistemas de Pago, que permitan al aportante efectuar el débito a su cuenta y a las Administradoras recibir los créditos correspondientes.
– Realizar los procesos de conciliación y contingencias del proceso de intercambio de información.
– Cumplir con los estándares de seguridad informática establecidos para el efecto.
– Generar, en lo que toca con la modalidad asistida, el código o número de referencia que vincula el valor por pagar con la liquidación asistida y advertir al aportante sobre los intereses de mora que se generarán si no efectúa el pago en la fecha límite prevista para ello
– Garantizar el flujo oportuno de la información contenida en la planilla.
– Cumplir con el término previsto para la transferencia de la información.
– Sujetarse a las condiciones de intercambio de información definidas por el Banco de la República para la distribución de la información.
– Remitir, a través del mecanismo de interconexión, los archivos de salida con destino a las administradoras con las cuales no haya firmado convenio.
– Responder frente a los afiliados, los aportantes y las administradoras por los errores, retardos u omisiones en que incurra, de conformidad con las normas que regulan la materia y con los convenios suscritos para el efecto.
Entidades Financieras:
– Servir de intermediario entre el aportante o cotizante y las administradoras, para la realización de las transacciones financieras de débito y de crédito en las cuentas respectivas, sin modificar los valores de los aportes contenidos en la Planilla Unica de Autoliquidación.
– Comunicar la información de las transacciones financieras a los aportantes y a las administradoras de conformidad con las especificaciones técnicas definidas para el efecto, de manera que las administradoras puedan identificar fácilmente a qué aportante corresponden los aportes y la planilla mediante la cual se realizó el pago y aplicar las reglas de seguridad y validación definidas para el sector financiero.
– Realizar los procesos de conciliación y contingencias relacionados con el proceso de las transacciones financieras.
ARTÍCULO 5o. IDENTIFICACIÓN DE LAS PLANILLAS. El campo 2 del numeral 1.1, registro tipo 1 – Encabezado, del numeral 1 – Información del Formulario Unico o Planilla Integrada, del literal b) – Descripción Detallada del Contenido de la Planilla, del artículo 1o de la Resolución 634 de 2006, quedará así:
| Num. | Long. | Pos. Ini. | Pos. Fin. | Tipo | Descripción | Validaciones Generales/ Origen de los Datos |
| 2A | 1 | 3 | 3 | N | Modalidad de la Planilla | Obligatorio. Lo diligencia el operador de información.0 = Electrónica 1 = Asistida |
| 2B | 4 | 4 | 7 | N | Secuencia, en este caso inicia en 0001 | Obligatorio. Lo diligencia el operador de información. Verificación de la secuencia ascendente. Por cada aportante inicia en 0001. Lo genera el sistema tanto para planilla electrónica como para asistida. El aportante debe reportarlo en el caso de que los datos se suban en archivos planos |
ARTÍCULO 6o. VIGENCIA. La presente resolución regirá a partir de la fecha de su publicación.
Publíquese y cúmplase.
Dada en Bogotá, D. C., a 31 de octubre de 2007.
El Ministro de la Protección Social,
DIEGO PALACIO BETANCOURT.